Anónimo
Portada
Asignatura
Doble Grado en Administración y Dirección de Empresas y Derecho (UEX)
Sistema Fiscal Español
Fecha de subida
02 mar 2023
Categoría
apuntes
Etiquetas
Apuntes - MINIMO-PERSONAL-Y-FAMILIAR.docx
docx
16
0
Apuntes - APUNTES-PRIMER-PARCIAL.pdf
pdf
23 páginas
25
Apuntes - APUNTES-SEGUNDO-PARCIAL.pdf
11 páginas
22
Apuntes - APUNTES-TERCER-PARCIAL.pdf
Apuntes - Fiscal-2022.pdf
21 páginas
10
Apuntes - IMPUESTO-SOBRE-LA-RENTA-DE-LAS-PERSONAS-FISICAS.docx
4
Apuntes - DEDUCCIONES-SOBRE-LAS-CUOTAS-INTEGRAS-PARA-CALCULAR-LAS-CUOTAS-LIQUIDAS.docx
Apuntes - TRIBUTACION-CONJUNTA.docx
3
Apuntes - Ejercicio-rentas-exentas.pdf
1 página
2
Apuntes - SUPUESTO-0.pdf
Apuntes - Introduccion.pdf
1
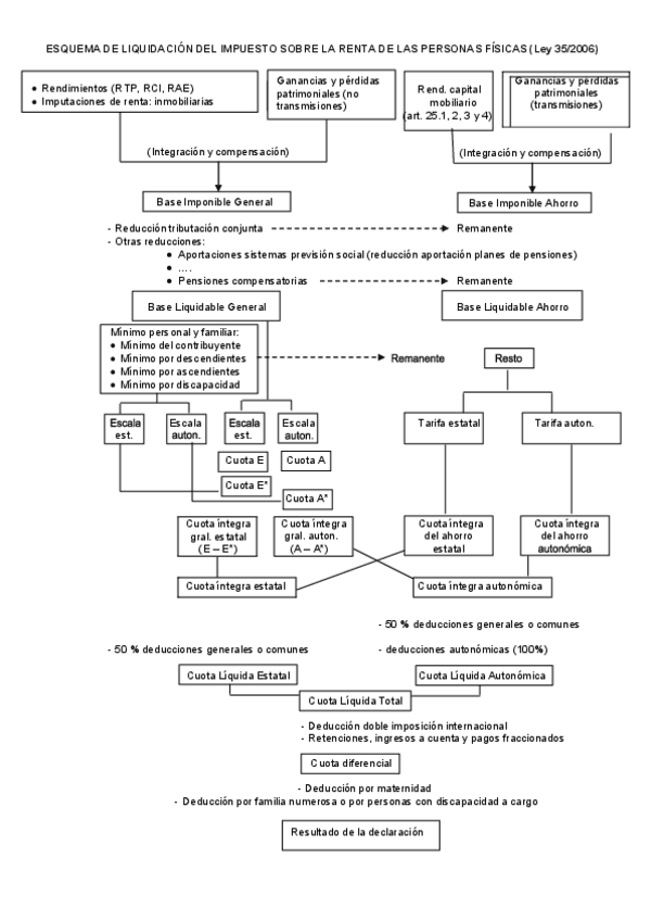
Apuntes - Esquema-general-IRPF.pdf
4 páginas
Apuntes - Principales-figuras-tributarias-del-IRPF.pdf
Apuntes - Preguntas-test-cuestiones-iniciales.pdf