chevron_left
chevron_right
Todo
Apuntes
Ejercicios
Exámenes
Test
chevron_left
chevron_right
Anónimo

@Anónimo

examenes

-

Examen parcial sistema fiscal 22/04/2026

He publicado nuevos examenes de 3º Sistema Fiscal Español: Examen parcial sistema fiscal 22/04/2026

WhatsApp-Image-2026-04-21-at-15.13.02-1.pdf
WhatsApp-Image-2026-04-21-at-15.13.02.pdf
WhatsApp-Image-2026-04-21-at-15.13.01-2.pdf
WhatsApp-Image-2026-04-21-at-15.13.01-1.pdf
WhatsApp-Image-2026-04-21-at-15.13.01.pdf
Anónimo

@Anónimo

He publicado nuevos examenes de 3º Sistema Fiscal Español: Practica-2-sistema-fiscal-espanol.pdf

1 página
Anónimo

@Anónimo

He publicado nuevos examenes de 3º Sistema Fiscal Español: Practica-3-sistema-fiscal-espanol.pdf

1 página
Anónimo

@Anónimo

He publicado nuevos examenes de 3º Sistema Fiscal Español: Segunda-prueba-de-evaluacion-25-26.pdf

1 página
Anónimo

@Anónimo

examenes

-

Primera prueba de evaluación

He publicado nuevos examenes de 3º Sistema Fiscal Español: Primera prueba de evaluación

1.pdf
2.pdf

ejercicios

-

Sistema Fiscal Español

He publicado nuevos ejercicios de 3º Sistema Fiscal Español: Sistema Fiscal Español

1-Parcial-fiscal.pdf

apuntes

-

Temario Fiscal

He publicado nuevos apuntes de 3º Sistema Fiscal Español: Temario Fiscal

Temario-Fiscal.pdf
Anónimo

@Anónimo

He publicado nuevos ejercicios de 3º Sistema Fiscal Español: Ejercicios-tipo-examen-IRPF-e-IS-con-soluciones.pdf

3 páginas

apuntes

-

Ejercicios todos los temas

He publicado nuevos apuntes de 3º Sistema Fiscal Español: Ejercicios todos los temas

Ejercicios-tema-2-fiscal.pdf
Ejercicios-tema-3-y-4-fiscal.pdf
Ejercicios-fiscal-ultima-parte.pdf

He publicado nuevos apuntes de 3º Sistema Fiscal Español: todos-test-t1-t2.pdf

22 páginas

He publicado nuevos apuntes de 3º Sistema Fiscal Español: Tema-4-FISCAL.pdf

6 páginas

He publicado nuevos apuntes de 3º Sistema Fiscal Español: Tema-3-fiscal-.pdf

5 páginas
Anónimo

@Anónimo

He publicado nuevos test de 3º Sistema Fiscal Español: Preguntas-tipo-test-Fiscal.pdf

8 páginas

He publicado nuevos apuntes de 3º Sistema Fiscal Español: TEMA-2-APUNTES-FISCAL.pdf

12 páginas

apuntes

-

FISCAL UN POCO DE TODO

He publicado nuevos apuntes de 3º Sistema Fiscal Español: FISCAL UN POCO DE TODO

tipo-test-tema-1-y-2.docx
TEST-AUTOEVALUACION-T.pdf
Test-Inicial.pdf
Tema7IVA-final-corregido.pdf

He publicado nuevos apuntes de 3º Sistema Fiscal Español: Fiscal.pdf

2 páginas

apuntes

-

TEMARIO

He publicado nuevos apuntes de 3º Sistema Fiscal Español: TEMARIO

IS1repasorapido.pdf
IS2Decisiones-empresariales.pdf
Anónimo

@Anónimo

apuntes

-

EXAMENES

He publicado nuevos apuntes de 3º Sistema Fiscal Español: EXAMENES

todos-test-t1-t2.pdf
Anónimo

@Anónimo

He publicado nuevos apuntes de 3º Sistema Fiscal Español: todos-test-t1-t2.pdf

22 páginas
Anónimo

@Anónimo

apuntes

-

Pruebas

He publicado nuevos apuntes de 3º Sistema Fiscal Español: Pruebas

Soluciones-ejercicios-deducciones-en-cuota-def.doc
Soluciones-ejercicios-deducciones-en-cuota-def.doc
Preguntas-test-cuestiones-iniciales.docx
PRUEBA-4.docx
Practicas-Tributacion-Familiar.docx
Practicas-BLG-y-BLA.doc
Anónimo

@Anónimo

apuntes

-

EJERCICIOS Y SUPUESTOS EXAMEN

He publicado nuevos apuntes de 3º Sistema Fiscal Español: EJERCICIOS Y SUPUESTOS EXAMEN

Practicas-rendimientos-del-trabajo-1.pdf
Supuesto-general-1.pdf
Preguntas-test-cuestiones-iniciales-1.pdf
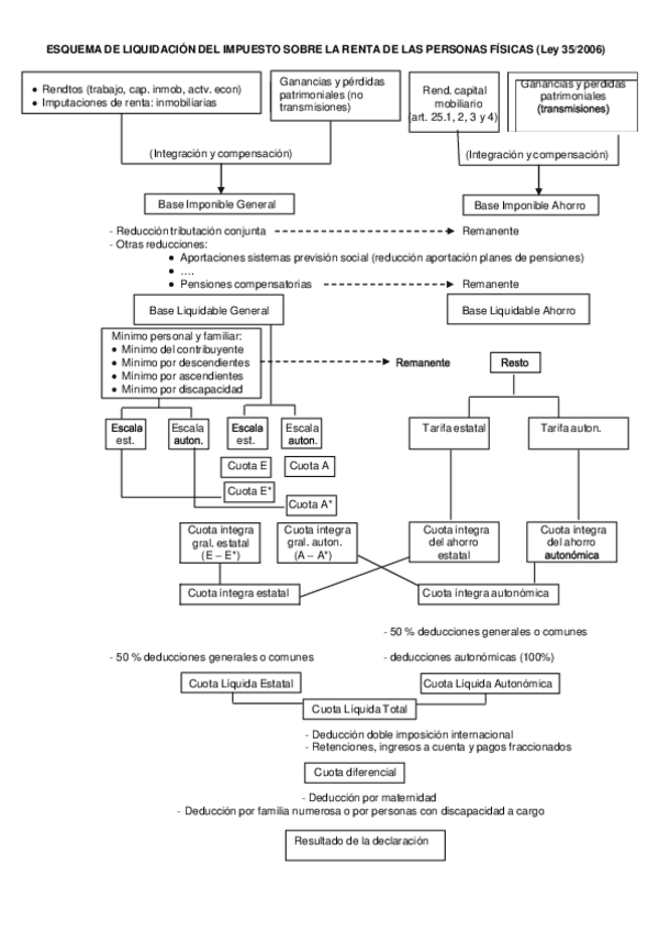
Esquema-gral-IRPF.pdf
Normas-aplicacion-MPyF-1.pdf
Ejercicios-adicionales-preparacion-Prueba-3-1.pdf
Anónimo

@Anónimo

apuntes

-

TEORÍA IRPF

He publicado nuevos apuntes de 3º Sistema Fiscal Español: TEORÍA IRPF

TRIBUTACION-CONJUNTA.docx
MINIMO-PERSONAL-Y-FAMILIAR.docx
IMPUESTO-SOBRE-LA-RENTA-DE-LAS-PERSONAS-FISICAS.docx
IMPUESTO-SOBRE-LA-RENTA-DE-LAS-PERSONAS-FISICAS.docx
DEDUCCIONES-SOBRE-LAS-CUOTAS-INTEGRAS-PARA-CALCULAR-LAS-CUOTAS-LIQUIDAS.docx

apuntes

-

Resúmenes de la Asignatura

He publicado nuevos apuntes de 3º Sistema Fiscal Español: Resúmenes de la Asignatura

Tema 11 y 12 - Impuesto sobre la Renta de las Persona Físicas (IRPF). Liquidación.pdf
Tema 3 y 13 - Impuesto sobre la Renta de las Personas Físicas (IRPF). Concepto.pdf
Tema 2 - Impuesto sobre el Valor Añadido (IVA).pdf
Tema 4- 5, 6, 7, 8, 9 y 10 - Impuesto sobre la Renta de las Personas Físicas (IRPF). Cálculo de la renta de un contribuyente.pdf
Tema 1 - Introducción a los impuestos.pdf
¡Estás al día!

¡Estás al día!

Has visto todos los archivos