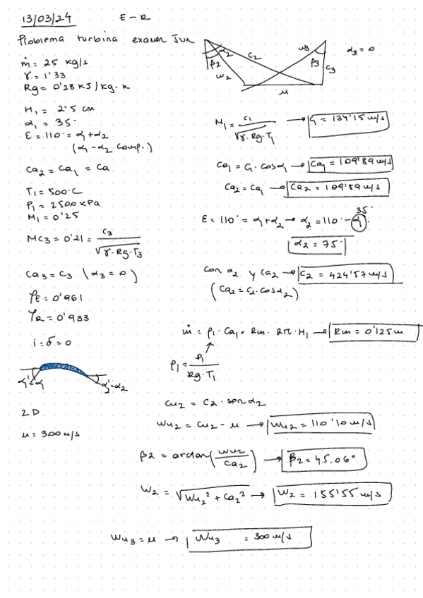
gia10
SPA-Problema-Turbina-Examen.pdf
4 páginas
Apuntes - SPA-Teoria-B2-Junio-2022.pdf
pdf
2 páginas
111
1
Apuntes - SPA-Teoria-B1-Junio2022.pdf
101
0
Exámenes - 2022-06-SPA-TEO-B2-corregido.pdf
88
Apuntes - TeoriatodoSPA.pdf
14 páginas
43
Apuntes - MOT-Teoria-B2-Junio2022.pdf
94
Apuntes - MOT-Teoria-B1-Junio2022.pdf
Ejercicios - Problemas-Resueltos-Segundo-Parcial.pdf
67
Ejercicios - Combustion.Problemasexamenes.pdf
21 páginas
35
2
Exámenes - EXAMEN-RESUELTO-JUN-2025-y-JUN-2024-paso-a-paso.pdf
17 páginas
31
Exámenes - Examen-SPA-JUN2024-LLAMAMIENTO-ESP-Enunciados--Soluciones.pdf
16 páginas
48
3
Exámenes - Examen-SPA-JUN2024-Enunciado--Soluciones.pdf
15 páginas
45
Ejercicios - Compresores-axiales.pdf
50
Ejercicios - Turbinas-axiales.pdf
13 páginas
36
Ejercicios - Ejercicios-Turbina-Axial.pdf
10 páginas
47
Exámenes - SPA-RESUMEN-Teoria-y-Formulas-Turbomaquinas-y-Combustion.pdf
8 páginas
39
5
Ejercicios - Problemas-Tema-3.pdf
11 páginas
42
Apuntes - Apuntes-Segundo-Parcial.pdf
30
Exámenes - Posibles-preguntas-Examen-teoria-SPA.pdf
Ejercicios - Ejercicios-compresor-radial.pdf
40
Apuntes - Problema-1-Camara-De-Combustion.pdf
7 páginas