Portada
Asignatura
Grado en Ingeniería Aeroespacial en Aeronavegación (URJC)
Sistemas de Propulsión
Fecha de subida
01 feb 2022
Categoría
apuntes
Etiquetas
Otros - Formulario-primer-parcial-SP.pdf
pdf
2 páginas
45
0
Exámenes - ExamenParcial1OrdSPGIAA2021-22Problemas.pdf
4 páginas
50
Otros - Formulario-segundo-parcial-SP.pdf
5 páginas
27
1
Ejercicios - ProblemasEntrega5GIAA2021.pdf
10 páginas
35
Apuntes - T4SP.pdf
14 páginas
29
Apuntes - T3SP.pdf
6 páginas
24
Ejercicios - ProblemasEntrega4GIAA2021.pdf
8 páginas
Ejercicios - ProblemasEntrega3GIAA2021.pdf
1 página
26
Ejercicios - ProblemasEntrega1GIAAv2.pdf
3 páginas
40
Ejercicios - ProblemasEntrega2GIAAv21-22.pdf
Apuntes - T6SP.pdf
9 páginas
14
Apuntes - T2SP.pdf
12 páginas
Apuntes - T5SP.pdf
15
Apuntes - T1SP.pdf
16
Prácticas - Practica-GasTurb.pdf
Apuntes - T8SP.pdf
11
Otros - Mapas-mentales.pdf
17
Ejercicios - Ejercicio-Clase-2-T3.pdf
5
Trabajos - Entrega-Tema-2.pdf
10
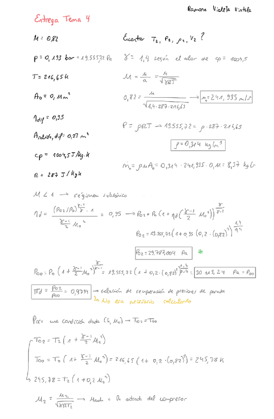
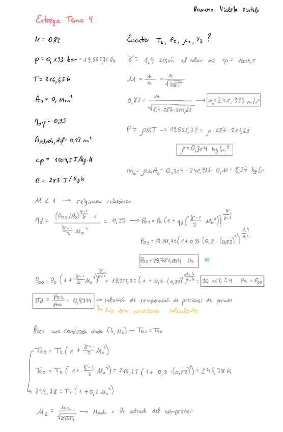
Apuntes - Entrega-Tema-4.pdf
0 páginas
12