Portada
Asignatura
Grado en Ingeniería Eléctrica (UCA)
Sistemas Eléctricos de Potencia
Fecha de subida
20 ago 2025
Categoría
ejercicios
Etiquetas
Prácticas - Practicas-SEP.pdf
pdf
27 páginas
79
0
Exámenes - Enunciado-Examen-Junio-2024.pdf
2 páginas
53
1
Ejercicios - Ejercicio-Examen-Febrero-2024-Solucion-Propuesta.pdf
32
Ejercicios - Repaso-Ejercicios-Flujo-de-Carga.pdf
26
2
Apuntes - Resumen-Cc-Trifasicos.pdf
4 páginas
29
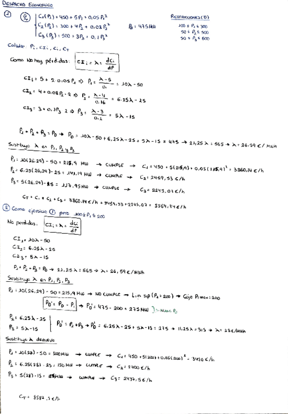
Ejercicios - Repaso-Despacho-Economico.pdf
15
Ejercicios - Repaso-Ejercicio-PU-2.pdf
3 páginas
18
Ejercicios - Repaso-Ejercicio-PU.pdf
1 página
19
Ejercicios - Repaso-Ejercicio-PU-3.pdf
14
Apuntes - Resumen-Comp.-simetricas.pdf
5 páginas
22
Apuntes - SEP-RAFAEL.pdf
18 páginas
16
Apuntes - FORMULARIO-SEP.pdf
11 páginas
7
Apuntes - SEP-JA.pdf
11
Ejercicios - EJERCICIOS-2-PARTE.pdf
17 páginas
4
Ejercicios - EJERCICIOS-ANGULO-CRITICO.pdf
5
Ejercicios - EJERCICIOS-1-PARTE.pdf
14 páginas
Ejercicios - EJERCICIOS-DESPACHO-ECONOMICO.pdf