Anónimo
Portada
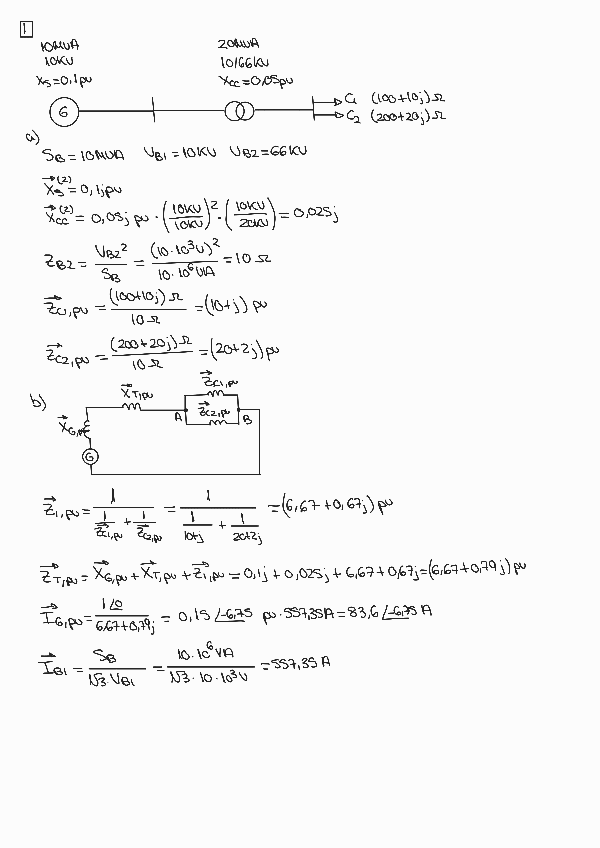
Asignatura
Grado en Ingeniería Eléctrica (UAL)
Sistemas Eléctricos de Potencia
Fecha de subida
01 feb 2023
Categoría
examenes
Etiquetas
Apuntes - PPT_SEP_Tema1.ppt
ppt
12
0
Apuntes - ApuntesCompleto.pdf
pdf
37 páginas
9
Ejercicios - Relacion-de-problemas-tema-1.pdf
15 páginas
14
1
Exámenes - Examen-enero-2022221228172439.pdf
7 páginas
20
Exámenes - Examenes-ENE22-FEB22-ENE21.pdf
14 páginas
26
Ejercicios - Ejercicios-de-Examen.pdf
18 páginas
13
Ejercicios - EjerciciosClaseyExamen.pdf
19 páginas
Exámenes - Examen-enero-2021221231191536.pdf
6 páginas
16
Apuntes - PPT_SEP_Tema2.ppt
6
Ejercicios - Relacion-de-problemas-tema-2.pdf
8 páginas
7
Exámenes - Examen-junio-2021230104174917.pdf
3 páginas
Ejercicios - Ejercicios-libro-problemas-de-sistemas-electricos.pdf
11 páginas
11
Ejercicios - Relacion-de-problemas-tema-3.pdf
Exámenes - Examen-sistemas-electricos-2022.pdf
19
Apuntes - Apuntes-Inicio-T1PorUnidad-T2YBarra.pdf
10 páginas
Apuntes - PPT_SEP_Tema9.ppt
3
Apuntes - Apuntes-T5Cortos-T6Transitorios-T7Despacho.pdf
17 páginas
Apuntes - Tema-4-Modelo-de-impedancia-Zbus.pdf
21 páginas
5
Apuntes - PPT_SEP_Tema4.ppt
Ejercicios - Ejercicios-flujos-de-potencia.pdf
4