Resumen-T5-Motor-DC.pdf

angelupc

Tema 5 - Motores DC

8 archivos·

501-Variables-Magneticas.pdf

1 página

502-Ensayo-de-Vacio-Generador-DC-Conexion-Independiente.pdf

1 página

503-Esquemas-del-Motor-DC-Derivacion-Serie-Independiente.pdf

4 páginas

504-Balance-de-Potencias-en-el-Motor-DC.pdf

1 página

Capitulo5LaMaquinaDC.pdf

32 páginas

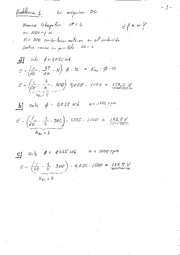
Problemas-del-tema-5-de-SE-La-Maquina-DC.pdf

4 páginas

Resumen-T5-Motor-DC.pdf

3 páginas

SolucionesProblemasTema5LaMaquinaDC.pdf

11 páginas

content_copy

Archivos recomendados