Programación no lineal

Nitardc_

Resueltos

31 archivos·

Programación no lineal

9 páginas

Ej 1 P. lineal

1 página

Ej 2 P. lineal

1 página

Ej 3 P. lineal

2 páginas

Ej 4 P. lineal

2 páginas

Ej 5 P. lineal

2 páginas

Ej 11 P. lineal

2 páginas

Ej 6 P. lineal

2 páginas

Ej 9 P. lineal

2 páginas

Ej. 14 P. lineal

3 páginas

Ej. 19 P. lineal

3 páginas

Ej.13 P.lineal

3 páginas

Ej. 21 P. lineal

2 páginas

Ej. 23 P. lineal

2 páginas

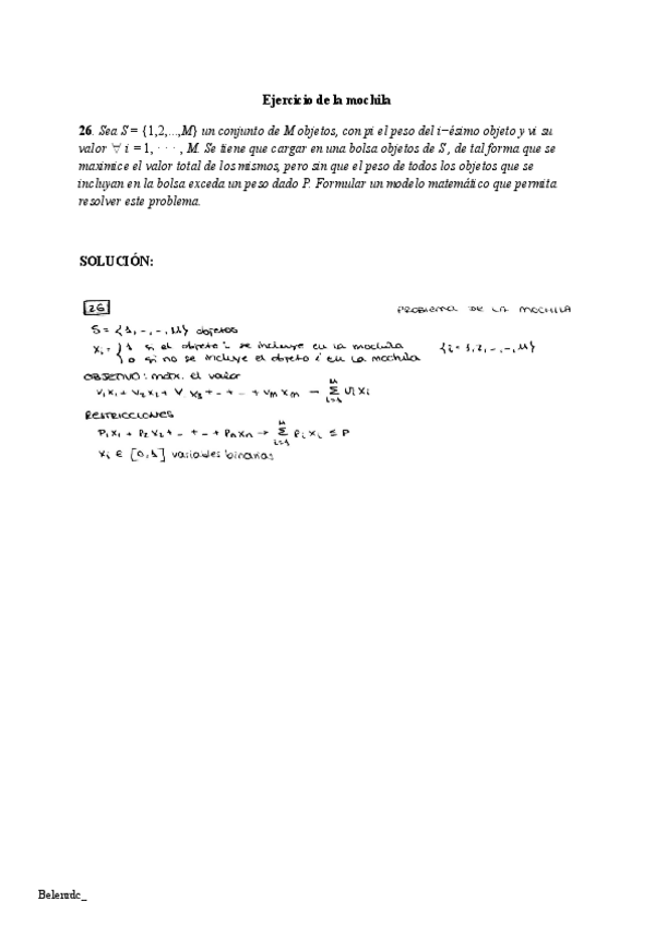
Ej. 26 P. lineal

1 página

Ej. 28 P. lineal

2 páginas

Ej. 32 P. lineal

2 páginas

Ej. 24 P. lineal

2 páginas

Ej. 17 P. lineal

2 páginas

Ej. 25 P. lineal

2 páginas

Ej. 18 P. lineal

2 páginas

Ej. 22 P. lineal

2 páginas

Ej. 27 P. lineal

2 páginas

Ej.-15-P.-lineal.pdf

2 páginas

Ej.-16-P.-lineal.pdf

2 páginas

Ej.-30-P.-lineal.pdf

2 páginas

Ejercicio-relojes.pdf

1 página

Ej.-29-P.-lineal.pdf

2 páginas

Ej.-31-P.-lineal.pdf

2 páginas

Ej.-33-P.-lineal.pdf

2 páginas

Ej.-34-P.-lineal.pdf

2 páginas

content_copy

Archivos recomendados