fisicaus
TODOS LOS EJERCICIOS RESUELTOS
135-147.pdf
15 páginas
107-120.pdf
14 páginas
57-76.pdf
17 páginas
31-40.pdf
4 páginas
41-56.pdf
7 páginas
119b-134.pdf
21 páginas
77-84.pdf
5 páginas
94-106.pdf
85-93.pdf
11-20.pdf
9 páginas
1-10.pdf
6 páginas
21-30.pdf
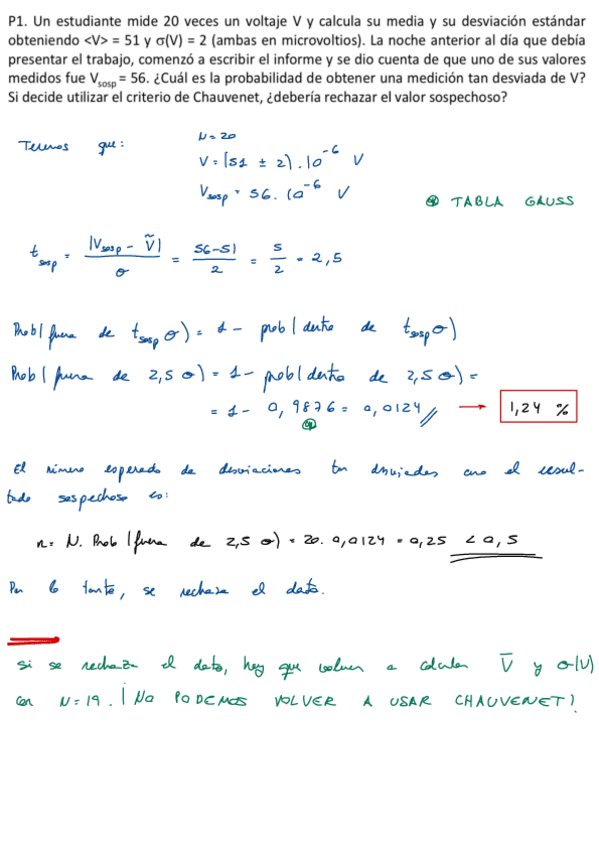
Criterio-Chauvenet.pdf
3 páginas
Ejercicios - 135-147.pdf
pdf
271
1
Ejercicios - 94-106.pdf
222
Ejercicios - 57-76.pdf
264
0
Ejercicios - 85-93.pdf
220
Ejercicios - 119b-134.pdf
202
Ejercicios - 77-84.pdf
204
Ejercicios - 107-120.pdf
226
3
Prácticas - (P6- memoria) Oscilaciones de torsión y momentos de inercia (Nota 5,5).pdf
127
Ejercicios - 41-56.pdf
218
Ejercicios - 31-40.pdf
Ejercicios - 1-10.pdf
224
Ejercicios - 21-30.pdf
Prácticas - memoria del movimiento de caida libre tanda 1.pdf
8 páginas
117
2
Prácticas - Memoria-Practica-14.docx
docx
67
Prácticas - memoria caida libre.pdf
10 páginas
125
Prácticas - medida de la gravedad con el pendulo simple. Nota 10. Curso 2010-2011.pdf
12 páginas
137
Ejercicios - 11-20.pdf
223
Prácticas - Práctica nº8.docx
13
Apuntes - MEMORIA-ADOLFO.docx
8
Prácticas - Determinación del calor específico de un líquido.pdf
130