ALF_WEG
Euskara
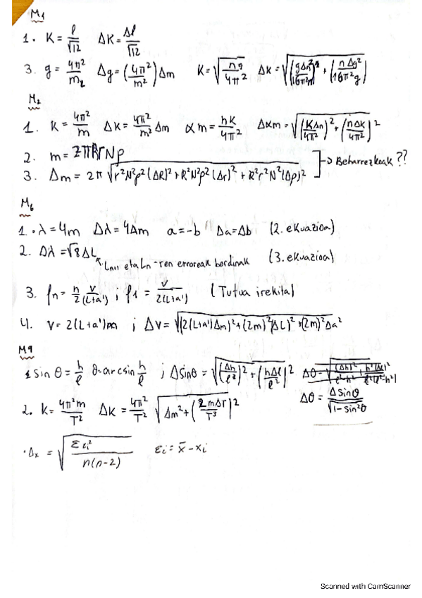
Azterketa-praktikorako-erroreen-adierazpenak.pdf
2 páginas
Trabajos - TEI txosten guztiak zuzenduta.pdf
pdf
65 páginas
144
9
Ejercicios - Ejercicios.pdf
12 páginas
28
0
Apuntes - Azterketa-praktikorako-erroreen-adierazpenak.pdf
29
Apuntes - T1-TeoriaDeErrores.pdf.pdf
6 páginas
49
2
Apuntes - Erroreen-Azterketarako-Formulak.pdf
35
Apuntes - TECNICAS-EXPERIMENTALES.pdf
4 páginas
42
1
Apuntes - Mekanika-praktitak.pdf
8 páginas
13
Exámenes - ExamenTcnicasExp.pdf
20 páginas
34
Apuntes - Erroresslides.pdf
35 páginas
19
Apuntes - T2-TeoriaDeCircuitos.pdf.pdf
7 páginas
10
Apuntes - circuitos basicos.pdf
5 páginas
Apuntes - Tema 5 - EJERCICIOS osciladores.pdf
4
Apuntes - TEMA 1 - EJERCICIOS sensores.pdf
0 páginas
Apuntes - Tema 0 EJERCICIOS.pdf
Apuntes - resumen de teoria.pdf
5
Apuntes - examenes resueltos.pdf
52 páginas
11
Apuntes - Tema 3 - EJERCICIOS acondicionamiento de señal.pdf
3
Exámenes - TecnicasexperimentalesIcircuitos2012.pdf
1 página
6