JUNIO-2019.pdf

Anónimo

Apuntes + Exámenes TI

17 archivos·

Todo lo necesario para aprobar la asignatura

Ejercicio-Stokes-anti-Stokes.pdf

1 página

Verdadero-y-falso-1.pdf

1 página

Examen-Tias-Junio-2016.pdf

1 página

Dif-y-semejanzas-entre-mecheros.pdf

2 páginas

CUESTION-1-2o-PARCIAL-FINAL-JUNIO-09-10-R.pdf

9 páginas

Examen-Junio-2016-TI.pdf

1 página

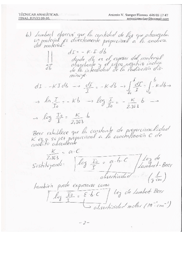
DEDUCCION-LEY-DE-LAMBERT-BEER.pdf

2 páginas

EJERCICIOS-RESUELTOS-13-14.pdf

7 páginas

EJERCICIOS-REGLAS-DE-WOODWARD-4-R.pdf

1 página

CUESTIONES-2o-PARCIAL-RESUELTAS.pdf

6 páginas

Examen-Noviembre-2018.jpg

JUNIO-2019.pdf

5 páginas

Examen-Septiembre-2018.jpg

Test.docx

Examen-Junio-2018.jpg

ejercicios-resueltos-espectro-combinados.pdf

11 páginas

EXAMEN-TIAS-JUNIO-2015.docx

content_copy

Archivos recomendados