Tecnicas Matematicas y Operacionales
Resumen de integrales con raíces imaginarias y ejemplo paso a paso resuelto.
Ejercicios con fecha de entrega máximo 9 diciembre resueltos
INICIO DE CURSO TÉCNICAS MATEMÁTICAS Y OPERACIONALES ACADEMIA UNIVERSITARIA FORMACIÓN MANUEL POZO Clases modalidad online y presencial. Todas tus CLASES GRABADAS PARA QUE PUEDAS VISUALIZARLAS HASTA EL DÍA DEL EXAMEN Resolución de todos tus ejercicios y exámenes de convocatorias anteriores. Profesores especialidados y temario propio. Acceso a PLATAFORMA VIRTUAL CON CONTENIDO EXCLUSIVO ¡Solicita tu clase de prueba en grupo sin compromiso!

He publicado nuevos apuntes de 1º Tecnicas Matematicas y Operacionales: Derivadas-tmo.pdf
He publicado nuevos apuntes de 1º Tecnicas Matematicas y Operacionales: TEMA-2-LA-INTEGRAL-INDEFINIDA.pdf
He publicado nuevos apuntes de 1º Tecnicas Matematicas y Operacionales: Practicas-TMO-2425.pdf
apuntes
-
Apuntes resumidos 1°parcial TMO
He publicado nuevos apuntes de 1º Tecnicas Matematicas y Operacionales: Apuntes resumidos 1°parcial TMO
He publicado nuevos apuntes de 1º Tecnicas Matematicas y Operacionales: Apuntes-Integrales.pdf
He publicado nuevos apuntes de 1º Tecnicas Matematicas y Operacionales: TEMA-3-MATEMATICAS.pdf
He publicado nuevos examenes de 1º Tecnicas Matematicas y Operacionales: EXAMEN-SEGUNDO-PARCIAL-MATEMATICAS.pdf
He publicado nuevos apuntes de 1º Tecnicas Matematicas y Operacionales: TEMA-4-MATEMATICAS.pdf
He publicado nuevos apuntes de 1º Tecnicas Matematicas y Operacionales: APUNTES-MATEMATICAS-05-12-2023.pdf
He publicado nuevos apuntes de 1º Tecnicas Matematicas y Operacionales: Apuntes-Matematicas 04-12-2023.pdf
He publicado nuevos ejercicios de 1º Tecnicas Matematicas y Operacionales: RELACION-EJ.-DERIVADAS.pdf
He publicado nuevos apuntes de 1º Tecnicas Matematicas y Operacionales: ECUACIONES-DIFERENCIALES.pdf
He publicado nuevos apuntes de 1º Tecnicas Matematicas y Operacionales: INTEGRALES.pdf
He publicado nuevos practicas de 1º Tecnicas Matematicas y Operacionales: PRACTICAS-1-TMO.pdf
He publicado nuevos apuntes de 1º Tecnicas Matematicas y Operacionales: Practicas-de-TMO-completas-1.pdf
ÍNICIO DE CURSO TÉCNICAS MATEMÁTICAS Y OPERACIONALES GRADO CC.Y TECNOLOGÍA DE LOS ALIMENTOS
INICIO DE CURSO TÉCNICAS MATEMÁTICAS Y OPERACIONALES GRADO CC.Y TECNOLOGÍA DE LOS ALIMENTOS. Academia Universitaria. Clases en grupos reducidos y particulares. Clases presenciales y online. Resolución de todos tus ejercicios y exámenes anteriores. UNIVERSIDAD DE GRANADA.

apuntes
-
TEMA 1 y 2
He publicado nuevos apuntes de 1º Tecnicas Matematicas y Operacionales: TEMA 1 y 2
He publicado nuevos apuntes de 1º Tecnicas Matematicas y Operacionales: DERIVADAS.pdf
He publicado nuevos practicas de 1º Tecnicas Matematicas y Operacionales: PRACTICAS-JOSE-MANUEL-TEMA-5.pdf
He publicado nuevos apuntes de 1º Tecnicas Matematicas y Operacionales: Relacion-1.pdf
He publicado nuevos apuntes de 1º Tecnicas Matematicas y Operacionales: TEMA-2-TMO.pdf
apuntes
-
Tema 1
He publicado nuevos apuntes de 1º Tecnicas Matematicas y Operacionales: Tema 1
He publicado nuevos apuntes de 1º Tecnicas Matematicas y Operacionales: Practicas-TMO.pdf
He publicado nuevos examenes de 1º Tecnicas Matematicas y Operacionales: 2o-Parcial-Tecnicas-Matematicas-y-Operacionales-.pdf
He publicado nuevos examenes de 1º Tecnicas Matematicas y Operacionales: 1o-Parcial-Tecnicas-Matematicas-y-Operacionales.pdf
apuntes
-
examen parcial
He publicado nuevos apuntes de 1º Tecnicas Matematicas y Operacionales: examen parcial
He publicado nuevos ejercicios de 1º Tecnicas Matematicas y Operacionales: Ejercicios.pdf
ejercicios
-
RELACIÓN 3 (ECUACIONES DIFERENCIALES)
He publicado nuevos ejercicios de 1º Tecnicas Matematicas y Operacionales: RELACIÓN 3 (ECUACIONES DIFERENCIALES)
apuntes
-
APUNTES TMO
He publicado nuevos apuntes de 1º Tecnicas Matematicas y Operacionales: APUNTES TMO
He publicado nuevos apuntes de 1º Tecnicas Matematicas y Operacionales: Nuevo-documento.pdf
He publicado nuevos apuntes de 1º Tecnicas Matematicas y Operacionales: FORMULAS-Y-RESUMEN-TEMA-1-TMO.pdf
apuntes
-
RELACIÓN 2 CON SOLUCIONES
He publicado nuevos apuntes de 1º Tecnicas Matematicas y Operacionales: RELACIÓN 2 CON SOLUCIONES
apuntes
-
RELACION 1 CON SOLUCIONES
He publicado nuevos apuntes de 1º Tecnicas Matematicas y Operacionales: RELACION 1 CON SOLUCIONES
He publicado nuevos apuntes de 1º Tecnicas Matematicas y Operacionales: RESUMEN-DE-CALCULO.pdf
ejercicios
-
EJER LIMITES + SOLUCIONES
He publicado nuevos ejercicios de 1º Tecnicas Matematicas y Operacionales: EJER LIMITES + SOLUCIONES
He publicado nuevos apuntes de 1º Tecnicas Matematicas y Operacionales: APUNTES-INDUCCION.pdf
He publicado nuevos apuntes de 1º Tecnicas Matematicas y Operacionales: TMO-T4.-EC.-DIFERENCIALES.PDF
apuntes
-
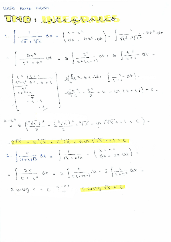
Resumen de integrales y derivadas
He publicado nuevos apuntes de 1º Tecnicas Matematicas y Operacionales: Resumen de integrales y derivadas
He publicado nuevos examenes de 1º Tecnicas Matematicas y Operacionales: Segundo-parcial-tmo.pdf
apuntes
-
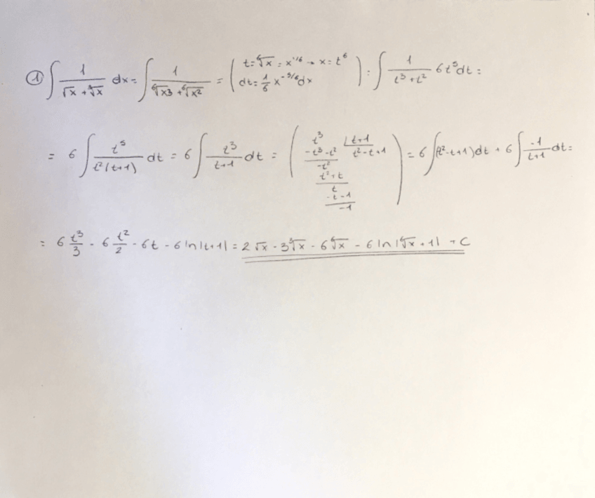
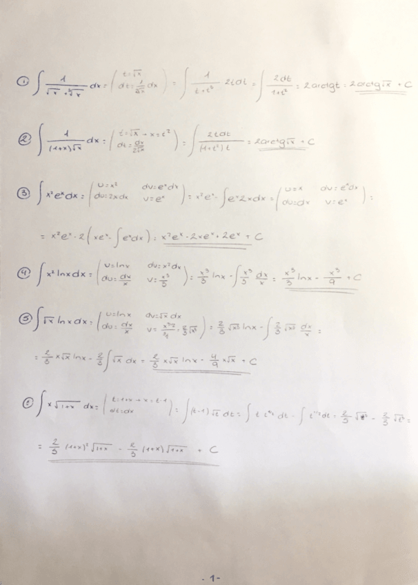
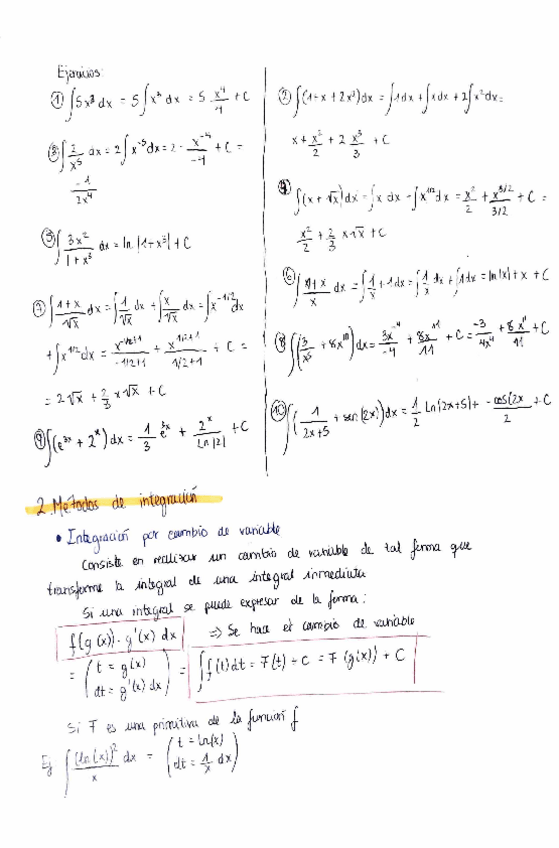
Ejercicios integrales resueltos
He publicado nuevos apuntes de 1º Tecnicas Matematicas y Operacionales: Ejercicios integrales resueltos
apuntes
-
Apuntes y ejercicios de clase completos
Profesor José Manuel
apuntes
-
APUNTES TEMA 4 (2 parcial)
He publicado nuevos apuntes de 1º Tecnicas Matematicas y Operacionales: APUNTES TEMA 4 (2 parcial)
apuntes
-
APUNTES TEMA 2 (2 parcial)
He publicado nuevos apuntes de 1º Tecnicas Matematicas y Operacionales: APUNTES TEMA 2 (2 parcial)
He publicado nuevos apuntes de 1º Tecnicas Matematicas y Operacionales: 20191129205547.pdf
He publicado nuevos apuntes de 1º Tecnicas Matematicas y Operacionales: derivadas.docx
He publicado nuevos examenes de 1º Tecnicas Matematicas y Operacionales: Screenshot_20181120-191857_WhatsApp.jpg
He publicado nuevos examenes de 1º Tecnicas Matematicas y Operacionales: Examen de matemáticas.docx
He publicado nuevos examenes de 1º Tecnicas Matematicas y Operacionales: WhatsApp Image 2017-01-30 at 20.26.52.jpeg
examenes
-
Pregunta de Examen
Han caído varias veces, están resueltos
He publicado nuevos examenes de 1º Tecnicas Matematicas y Operacionales: sep 15.jpeg
He publicado nuevos examenes de 1º Tecnicas Matematicas y Operacionales: parcial 14.jpeg
apuntes
-
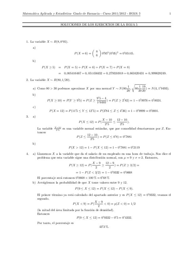
Ejercicios de Examenes-soluciones
He publicado nuevos apuntes de 1º Tecnicas Matematicas y Operacionales: Ejercicios de Examenes-soluciones
apuntes
-
Ejercicios de Examenes-soluciones
He publicado nuevos apuntes de 1º Tecnicas Matematicas y Operacionales: Ejercicios de Examenes-soluciones
He publicado nuevos trabajos de 1º Tecnicas Matematicas y Operacionales: Manual Básico.pdf
examenes
-
Examen
He publicado nuevos examenes de 1º Tecnicas Matematicas y Operacionales: Examen
¡Estás al día!
Has visto todos los archivos