chevron_left
chevron_right
Todo
Apuntes
PEC
chevron_left
chevron_right

He publicado nuevos apuntes de 1º Tecnología de Computadores: tema-2-tecnologia-de-computadores.pdf

10 páginas

He publicado nuevos apuntes de 1º Tecnología de Computadores: Tema2-Representacion-de-la-informacion-def.pdf

92 páginas

He publicado nuevos pec de 1º Tecnología de Computadores: PEC-Ejercicios-4-SED-Secuenciales.pdf

14 páginas

He publicado nuevos pec de 1º Tecnología de Computadores: PEC-Ejercicios-3-SED-Combinacionales.pdf

16 páginas
Anónimo

@Anónimo

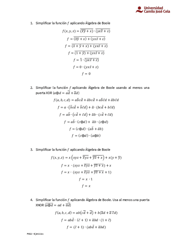
He publicado nuevos pec de 1º Tecnología de Computadores: PEC Ejercicios 2 - Álgebra de Boole. Puertas lógicas.pdf

14 páginas
Anónimo

@Anónimo

He publicado nuevos pec de 1º Tecnología de Computadores: PEC Ejercicios 1 - Cambio de base.pdf

7 páginas