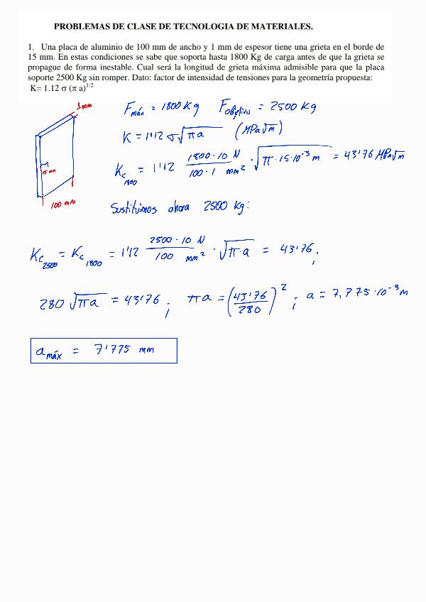
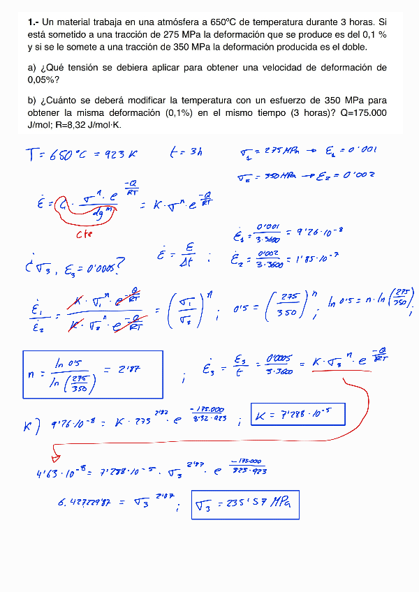
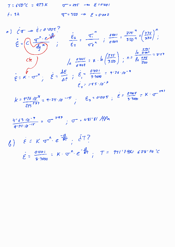
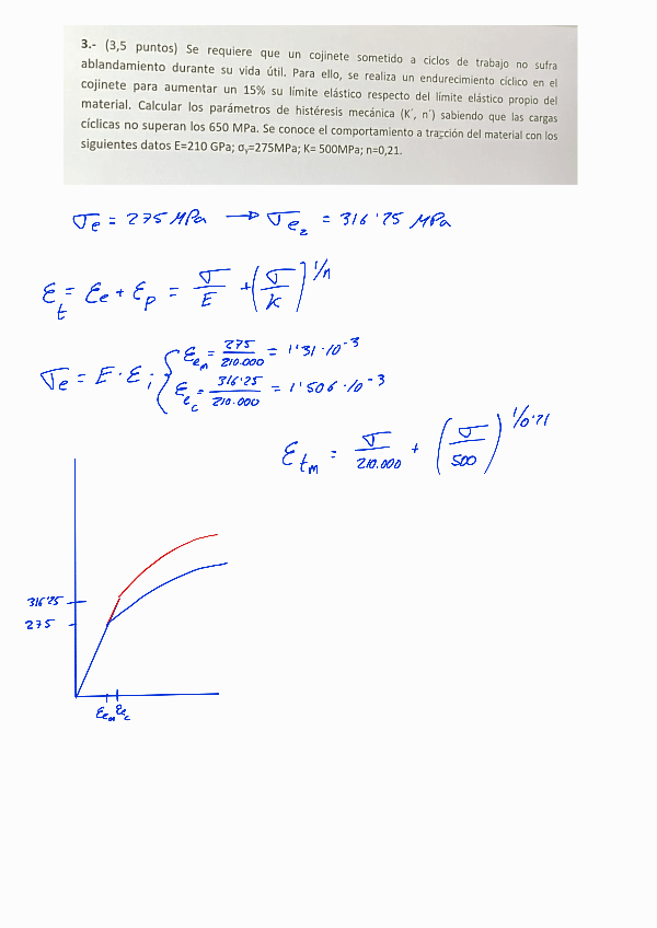
Portada
Asignatura
Grado en Ingeniería de Tecnologías Industriales (UMA)
Tecnología de Materiales
Fecha de subida
28 sep 2023
Categoría
apuntes
Etiquetas
Apuntes - Materiales-TeoriaCompleta.pdf
pdf
53 páginas
20
0
Exámenes - preguntas-teoria.pdf
15 páginas
15
Exámenes - Examen2-GITI-28-05-2020.pdf
4 páginas
11
Exámenes - problemas-examen.pdf
8 páginas
13
Exámenes - Examen-GITI-03-05-2021.pdf
1 página
10
Exámenes - Tecnologia-de-materiales-FLUENCIA.pdf
19 páginas
9
1
Exámenes - Examen1-GITI-28-05-2020.pdf
3 páginas
14
Exámenes - Problemas-fractura-corregido.pdf
12 páginas
7
Exámenes - Probsresueltoscomportamiento.pdf
8
Exámenes - 3CS2Problemas-Fractura.pdf
2 páginas
Exámenes - problemas-fatiga-corregido.pdf
Exámenes - 6-PROBLEMA-DE-RADIOGRAFIA.pdf
5 páginas
Exámenes - PROBLEMA-DE-RADIOGRAFIA.pdf
5
Apuntes - 4-Fluenciatema.pdf
16 páginas
Apuntes - Ejercicio-Radiografia-1230320172553.pdf
Apuntes - 1-Deformacionelastica.pdf
Apuntes - Problema-Radiografia-1-1230320181126.pdf
Apuntes - Notes230426180414.pdf
Apuntes - Ejercicio-Radiologia-2-y-3230316155024.pdf
Apuntes - Notes230420161155.pdf