Teoría Analítica de Números

chevron_left
chevron_right
Todo
Apuntes
Ejercicios
Exámenes
chevron_left
chevron_right

apuntes

-

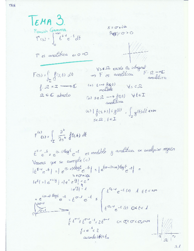
Tema 3

He publicado nuevos apuntes de 4º Teoría Analítica de Números: Tema 3

Tema-32.pdf
Tema-31.pdf
Problemas-3.pdf

apuntes

-

Temas 1 y 2

He publicado nuevos apuntes de 4º Teoría Analítica de Números: Temas 1 y 2

Tema-1.pdf
Problemas-1.pdf
Problemas-2.pdf
Tema-2.pdf

apuntes

-

Teoría TAN

He publicado nuevos apuntes de 4º Teoría Analítica de Números: Teoría TAN

Tema-2-TAN-TEORIA.pdf
Tema-3-TAN.pdf

ejercicios

-

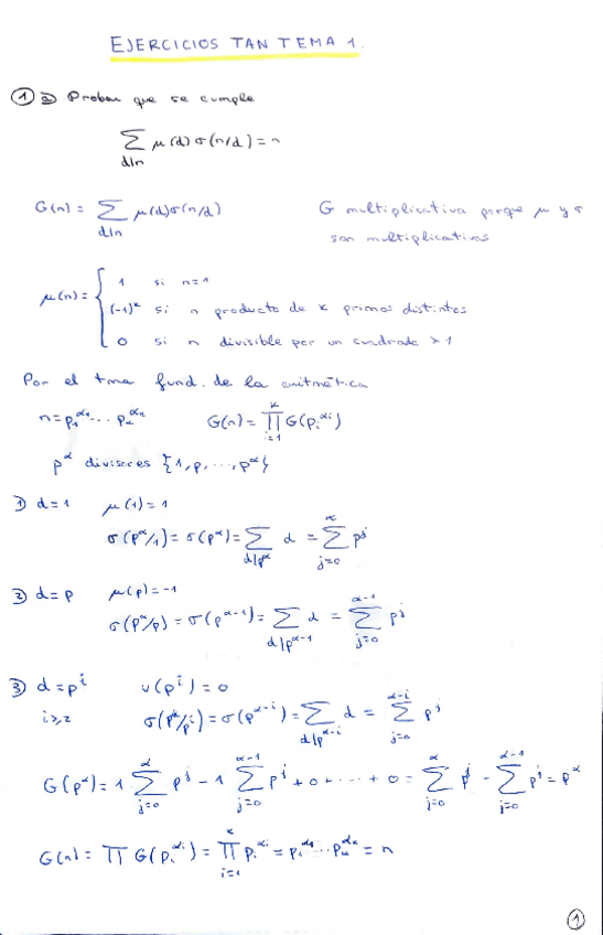
Ejercicios TAN

He publicado nuevos ejercicios de 4º Teoría Analítica de Números: Ejercicios TAN

Ejercicios-tema-1-TAN.pdf
Ejercicios-TAN-tema-2.pdf

He publicado nuevos ejercicios de 4º Teoría Analítica de Números: EJERCICIOS-BLOQUE-2.pdf

17 páginas

apuntes

-

Tema 1 TAN teoria

He publicado nuevos apuntes de 4º Teoría Analítica de Números: Tema 1 TAN teoria

Tema-1-TAN-parte-2.pdf
Tema-1-TAN-parte-1.pdf

He publicado nuevos examenes de 4º Teoría Analítica de Números: 1er-PARCIAL.jpg

Imagen

He publicado nuevos ejercicios de 4º Teoría Analítica de Números: EJERCICIOS-BLOQUE-1.pdf

15 páginas

He publicado nuevos apuntes de 4º Teoría Analítica de Números: Demostraciones-T1-TAN.pdf

15 páginas

apuntes

-

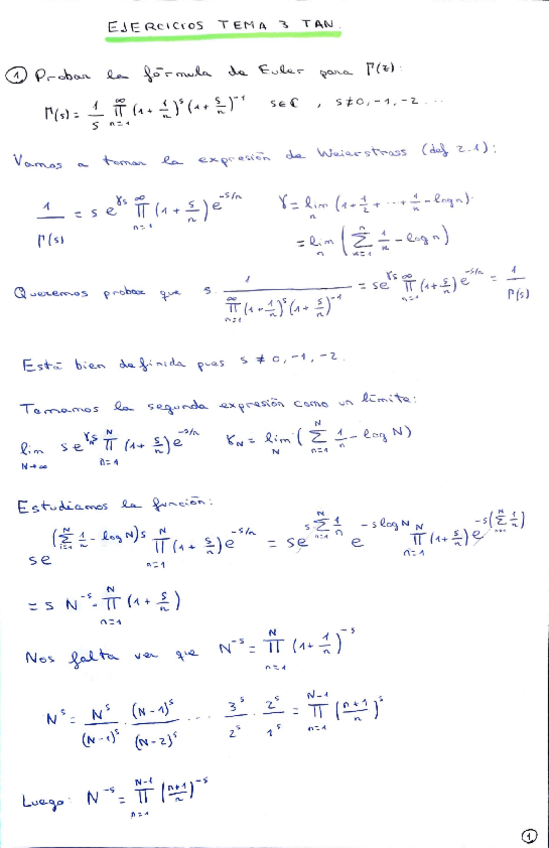
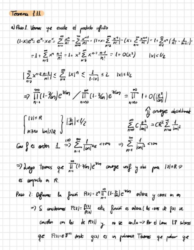
Tema 3

demostraciones, relación de ejercicios y exámenes resueltos

teoriaT3.pdf
exsT3.pdf
ejsT3.pdf
enunciado-ex.T3.pdf

apuntes

-

Tema 2

demostraciones, relación de ejercicios y exámenes resueltos

exsT2.pdf
ejsT2.pdf
teoriaT2.pdf
enunciado-ex.T2.pdf

apuntes

-

Tema 1

He publicado nuevos apuntes de 4º Teoría Analítica de Números: Tema 1

ejsT1.pdf
exsT1.pdf
teoriaT1.pdf
enunciado-ex.T1.pdf

He publicado nuevos ejercicios de 4º Teoría Analítica de Números: ejerciciostema3tan.pdf

27 páginas

He publicado nuevos apuntes de 4º Teoría Analítica de Números: teoriatema3tan.pdf

22 páginas

He publicado nuevos ejercicios de 4º Teoría Analítica de Números: ejstema2tan.pdf

20 páginas

He publicado nuevos apuntes de 4º Teoría Analítica de Números: SELECCION-TEORIA-EXAMEN-TEMA-2.pdf

10 páginas

apuntes

-

Demostraciones y problemas resueltos

He publicado nuevos apuntes de 4º Teoría Analítica de Números: Demostraciones y problemas resueltos

Tema-1-demostraciones.pdf
Tema-2-Demostraciones.pdf
Tema-3-Demostraciones.pdf
TAN2023-problemas-tema1-resueltos.pdf
TAN2023-problemas-tema2-resueltos.pdf

He publicado nuevos apuntes de 4º Teoría Analítica de Números: Tema-1-TAN.pdf

54 páginas

He publicado nuevos ejercicios de 4º Teoría Analítica de Números: ejsextraTAN1.pdf

12 páginas

He publicado nuevos ejercicios de 4º Teoría Analítica de Números: ejstema1TANparte2.pdf

7 páginas

He publicado nuevos ejercicios de 4º Teoría Analítica de Números: Ejstema1TANparte1.pdf

17 páginas

apuntes

-

Ejercicios resueltos por temas

He publicado nuevos apuntes de 4º Teoría Analítica de Números: Ejercicios resueltos por temas

Ejercicios-TAN-Tema-1.pdf
Miniatura no disponible
Ejercicios-TAN-Tema-2.pdf
Ejercicios-TAN-Tema-3--examenes.pdf

apuntes

-

Demostraciones por temas

He publicado nuevos apuntes de 4º Teoría Analítica de Números: Demostraciones por temas

Demostraciones-TAN-Tema-1.pdf
Miniatura no disponible
Demostraciones-TAN-Tema-2.pdf
Miniatura no disponible
Demostraciones-TAN-Tema-3.pdf

He publicado nuevos ejercicios de 4º Teoría Analítica de Números: EjerciciosT1-TAN.pdf

14 páginas

He publicado nuevos ejercicios de 4º Teoría Analítica de Números: EjerciciosT3-TAN.pdf

16 páginas

He publicado nuevos ejercicios de 4º Teoría Analítica de Números: EjerciciosT2-TAN.pdf

12 páginas

He publicado nuevos apuntes de 4º Teoría Analítica de Números: TeoriaParcial2-TAN.pdf

17 páginas

He publicado nuevos apuntes de 4º Teoría Analítica de Números: TeoriaParcial1-TAN.pdf

20 páginas

He publicado nuevos apuntes de 4º Teoría Analítica de Números: TeoriaParcial3-TAN.pdf

22 páginas

ejercicios

-

Ejercicios TAN

He publicado nuevos ejercicios de 4º Teoría Analítica de Números: Ejercicios TAN

Ejercicios-Tema-3.pdf
Ejercicios-Tema-1.pdf
Ejercicios-Tema-2.pdf

apuntes

-

TEORIA

He publicado nuevos apuntes de 4º Teoría Analítica de Números: TEORIA

tema1-tan.pdf
mas-dem-tema1.pdf
TEMA-3-PRIMERA-PARTE.pdf
TEMA-3-SEGUNDA-PARTE.pdf
Anónimo

@Anónimo

apuntes

-

EJERCICIOS

He publicado nuevos apuntes de 4º Teoría Analítica de Números: EJERCICIOS

ej2-rel1.pdf
ej-t1.pdf
ejercicio-12.pdf

ejercicios

-

Ejercicios TAN

He publicado nuevos ejercicios de 4º Teoría Analítica de Números: Ejercicios TAN

EjerciciosTANtema2.pdf
Tema1ejercicios.pdf
Tema3ejercicios.pdf

He publicado nuevos examenes de 4º Teoría Analítica de Números: PARCIAL2TAN.pdf

6 páginas

He publicado nuevos examenes de 4º Teoría Analítica de Números: PARCIAL3TAN.pdf

6 páginas

apuntes

-

TAN (APUNTES Y EJS. RESUELTOS)

He publicado nuevos apuntes de 4º Teoría Analítica de Números: TAN (APUNTES Y EJS. RESUELTOS)

CUADERNO-TAN.pdf
Ejercicio-1-Tema-1.pdf
Ejercicio-1-Tema-2.pdf
Ejercicio-1-Tema-3.pdf
Ejercicio-2-Tema-1.pdf
Ejercicio-2-Tema-2.pdf

apuntes

-

Temario TAN

He publicado nuevos apuntes de 4º Teoría Analítica de Números: Temario TAN

TEMA3.pdf
Tema-2-definitivo.pdf
Tema-1TAN221020123525-2.pdf

ejercicios

-

Relaciones de Ejercicios Resuletos TAN

He publicado nuevos ejercicios de 4º Teoría Analítica de Números: Relaciones de Ejercicios Resuletos TAN

Relacion-3-TAN.pdf
Relacion-2-TAN.pdf
Relacion-1-TAN.pdf

apuntes

-

Teoría TAN

Teoría por temas Guillermo Curbera

TEMA-3-TAN.pdf
TEMA-2-TAN.pdf
TEMA-1-TAN.pdf

He publicado nuevos apuntes de 4º Teoría Analítica de Números: TEMA-3-TAN-COMPLETO.pdf

25 páginas

con demostraciones y notas explicativas

23 páginas
Anónimo

@Anónimo

examenes

-

parciales

He publicado nuevos examenes de 4º Teoría Analítica de Números: parciales

TAN-1CONVO-2020.pdf
1era-convocatoria.pdf
Anónimo

@Anónimo

examenes

-

Examenes TAN

He publicado nuevos examenes de 4º Teoría Analítica de Números: Examenes TAN

TAN-examen-2022-tema1.pdf
TAN-examen-2021-tema1.pdf
TAN-examen-2020-tema2.pdf
TAN-examen-2020-tema1-turno-2.pdf
TAN-examen-2021-tema2.pdf

apuntes

-

Teor_a_Anal_tica_de_N_meros___Teor_a (2)

He publicado nuevos apuntes de 4º Teoría Analítica de Números: Teor_a_Anal_tica_de_N_meros___Teor_a (2)

TeoraAnalticadeNmerosExamendeltema1-1.pdf
TeoraAnalticadeNmerosTeora.pdf

He publicado nuevos apuntes de 4º Teoría Analítica de Números: ejerciciosteoriatan.pdf

94 páginas

apuntes

-

Apuntes

He publicado nuevos apuntes de 4º Teoría Analítica de Números: Apuntes

Tema 1.PDF
Tema 3.PDF
Resumen tema 1.PDF
Resumen tema 2.PDF
Resumen tema 3.PDF
Formulas.PDF

examenes

-

Examenes

He publicado nuevos examenes de 4º Teoría Analítica de Números: Examenes

001.jpeg
Examen 17-18.PDF

ejercicios

-

Ejercicios

He publicado nuevos ejercicios de 4º Teoría Analítica de Números: Ejercicios

Ejercicios tema 1.PDF
Ejercicios tema 3.PDF
Ejercicios tema 2.PDF

Una asignatura preciosa.

56 páginas
¡Estás al día!

¡Estás al día!

Has visto todos los archivos