Portada
Asignatura
Grado en Ingeniería de las Tecnologías de Telecomunicación (UGR)
Teoría de la Comunicación
Fecha de subida
24 sep 2022
Categoría
ejercicios
Etiquetas
Apuntes - Resumen Prácticas-Teoría Examen + Chuletón.pdf
pdf
12 páginas
32
5
Exámenes - EXAMENES-RESUELTOS-2009-2020-2.pdf
40 páginas
221
2
Ejercicios - Relacion-PA-.pdf
354
0
Apuntes - ExamenTc.pdf
7 páginas
100
1
Exámenes - Solucion-examen-enero.pdf
0 páginas
24
Exámenes - ExamenTCene2022.pdf
28
4
Apuntes - Preguntas-Teoria.pdf
3 páginas
23
6
Exámenes - TEORIAEXAMEN.pdf
6 páginas
157
Ejercicios - T2 TC.pdf
25 páginas
83
Exámenes - EXAMENES-RESUELTOS-2009-2020-1.pdf
30 páginas
219
Apuntes - RESUMEN-Y-FORMULARIO-TC.pdf
14 páginas
136
Prácticas - Practica-1-memoria.pdf
13 páginas
234
Prácticas - P1.pdf
15 páginas
216
Exámenes - Febrero-2023-Resuelto.pdf
154
Ejercicios - T1 TC.pdf
70
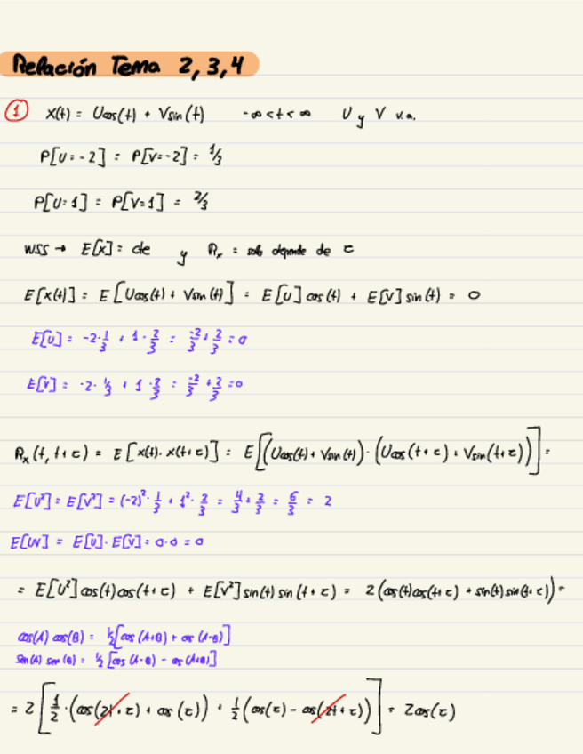
Ejercicios - Relacion-Tema-2-3-4.pdf
206
Ejercicios - ej tc.pdf
44 páginas
55
Trabajos - canal-rayleigh-presentacion.pdf
220
Ejercicios - T3 TC.pdf
77
Exámenes - Examen-TC-Febrero-2019-con-solucion.pdf
10 páginas
133