tooni25
Resolucion Test Clase
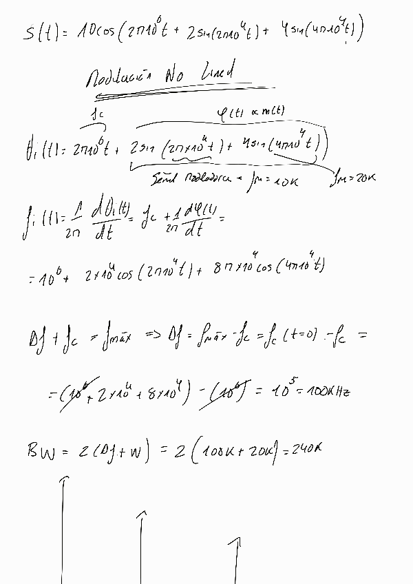
Resolucion-Test-1.pdf
3 páginas
Resolucion-Test-2.pdf
Test-241022230722220714097.pdf
Apuntes - TEORIA-DE-LA-COMUNICACION.pdf
pdf
56 páginas
33
0
Ejercicios - Ejercicios-teoria-de-la-comunicacion.pdf
148 páginas
38
Exámenes - Examenes-resueltos-Teoria-de-la-Comunicacion.pdf
18 páginas
27
1
Ejercicios - Ejercicios-Teoria.pdf
20 páginas
21
Otros - Chuletario.pdf
2 páginas
17
Ejercicios - Test-241022230722220714097.pdf
6
Ejercicios - Ejercicios-Parte-Digital230722220953167.pdf
11 páginas
8
Ejercicios - Problemas-Tema-1230722220547532.pdf
7 páginas
12
Ejercicios - Resolucion-Test-2.pdf
7
Ejercicios - Resolucion-Test-1.pdf
14
Exámenes - 2019julioresuelto.pdf
9
Exámenes - 2019junioresuelto.pdf
4 páginas
11
Apuntes - Tema6-4.pdf
14 páginas
5
Ejercicios - Ejs-Modulacion-No-Coherente230722220945699.pdf
4
Exámenes - 2017septiembreresuelto.pdf
Apuntes - Apuntes-y-ejercicios-Teoria-de-la-Comunicacion.pdf
70 páginas
Exámenes - 2018laboratoriojunioresuelto.pdf
Exámenes - 2018junioresuelto.pdf
Apuntes - Teoria-de-la-Comunicacion.pdf
278 páginas
Ejercicios - Ejercicios-Tema-5230722220719746.pdf
6 páginas