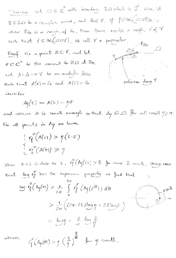
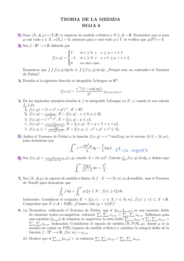
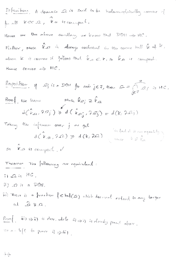
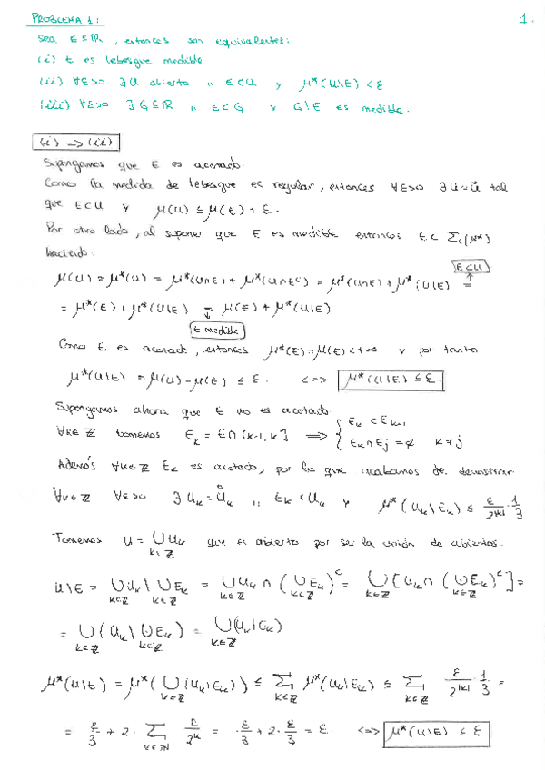
Teoría de la Medida

chevron_left
chevron_right
Todo
Apuntes
Ejercicios
Exámenes
publication
chevron_left
chevron_right

Ejercicios resueltos del curso 25/26 con Mar

34 páginas

Toda la teoría demostrada para el examen de Mar del curso 2025/2026

15 páginas

He publicado nuevos examenes de 3º Teoría de la Medida: Examen-2026.pdf

1 página

apuntes

-

Cuaderno de Clase RC Analysis_231212_171524

Profesor Janusz (2023-24)

Cuaderno-de-Clase-RandC-Analysis231212171524.pdf
Examen-TDM231212171641.pdf
Integration-and-continous-functions231122103906.pdf
Ejercicios-2412024240124102531.pdf
Complex-Analysis240117104407.pdf
Teoria-231213003337-1.pdf

He publicado nuevos examenes de 3º Teoría de la Medida: Julio-2025.pdf

1 página

ejercicios

-

Ejercicios Resueltos TMED

Muchos ejercicios resueltos de TMED en el curso 24/25 con Daniel Azagra

HOJA-1-RESUELTA.pdf
HOJA-2-RESUELTA.pdf
HOJA-3-RESUELTA.pdf
HOJA-4-RESUELTA.pdf
HOJA-5-RESUELTA.pdf
HOJA-6-RESUELTA.pdf

Toda la teoría (sin demostraciones) del curso 24/25 de TMED con Daniel Azagra

24 páginas
Anónimo

@Anónimo

apuntes

-

apuntes y exámenes

He publicado nuevos apuntes de 3º Teoría de la Medida: apuntes y exámenes

examen-enero-2019.pdf
completacion-medida.pdf
examen-enero-2015.pdf
apuntes.pdf
uryshon-y-particiones.pdf
problemas-curso.pdf

He publicado nuevos apuntes de 3º Teoría de la Medida: Fubini.pdf

16 páginas

He publicado nuevos apuntes de 3º Teoría de la Medida: apuntescampus.pdf

112 páginas

He publicado nuevos apuntes de 3º Teoría de la Medida: respuestasproblemas-2y3-1.pdf

5 páginas
Anónimo

@Anónimo

He publicado nuevos examenes de 4º Teoría de la Medida: ExamenTMEnero2024Test-1-1.pdf

1 página
Anónimo

@Anónimo

He publicado nuevos examenes de 4º Teoría de la Medida: ExamenTMEnero2024-1-1.pdf

1 página
Anónimo

@Anónimo

He publicado nuevos examenes de 4º Teoría de la Medida: ExamenTMJunio2024-1-2.pdf

1 página
Anónimo

@Anónimo

He publicado nuevos examenes de 4º Teoría de la Medida: ExamenTMJunio2024Test-1-1.pdf

1 página
Anónimo

@Anónimo

He publicado nuevos examenes de 4º Teoría de la Medida: ExamenTMDiciembre2024.pdf

1 página
Anónimo

@Anónimo

He publicado nuevos examenes de 4º Teoría de la Medida: ExamenTMDiciembre2024Test.pdf

1 página

Ejercicios Mar tmed

¿Alguien sabe si los ejercicios de tmed con María del Mar subidos son los corregidos en clase?

He publicado nuevos examenes de 3º Teoría de la Medida: Examen-final-22-enero-2025.pdf

1 página

con las demostraciones de la lista

16 páginas

apuntes

-

Apuntes Teoría de la Medida

He publicado nuevos apuntes de 4º Teoría de la Medida: Apuntes Teoría de la Medida

tema-1.pdf
tema-2.pdf
tema-3.pdf
tema-4.pdf
tema-5.pdf
tema-6.pdf

ejercicios

-

Ejercicios Resueltos

He publicado nuevos ejercicios de 4º Teoría de la Medida: Ejercicios Resueltos

Hoja-1-Medida-Azagra.pdf
Hoja-2-Medida-Azagra.pdf

examenes

-

Exámenes 2024 Azagra

He publicado nuevos examenes de 4º Teoría de la Medida: Exámenes 2024 Azagra

Examen-T-Medida-Azagra-Junio-2024.pdf
Examen-T-Medida-Azagra-Enero-2024.pdf

He publicado nuevos examenes de 4º Teoría de la Medida: Resumen-para-examen-TMED-Azagra.pdf

24 páginas

ejercicios

-

Problemas Resueltos Teoría de la Medida (Azagra)

He publicado nuevos ejercicios de 4º Teoría de la Medida: Problemas Resueltos Teoría de la Medida (Azagra)

Hoja-1.pdf
Hoja-2.pdf
Hoja-3.pdf
Hoja-4.pdf
Hoja-5.pdf
Hoja-6-Hasta-el-15.pdf

apuntes

-

Teoría de la Medida (Azagra)

He publicado nuevos apuntes de 4º Teoría de la Medida: Teoría de la Medida (Azagra)

1-s-Algebras-Borelianos-y-Medidas.pdf
2-Medidas-de-Hausdorff-y-Lebesgue.pdf
3-Funciones-Medibles.pdf
4-La-Integral.pdf
5-La-Integral-y-la-Convergencia.pdf
6-Medida-Producto-y-Fubini.pdf

He publicado nuevos examenes de 3º Teoría de la Medida: Examen-final-12-enero-2024.pdf

1 página

He publicado nuevos examenes de 3º Teoría de la Medida: Examen-final-25-junio-2024.pdf

1 página

He publicado nuevos apuntes de 4º Teoría de la Medida: apuntes-TMED-parte-3.pdf

11 páginas

He publicado nuevos apuntes de 4º Teoría de la Medida: apuntes-TMED-parte-1.pdf

11 páginas

He publicado nuevos apuntes de 4º Teoría de la Medida: apuntes-TMED-parte-2.pdf

12 páginas

He publicado nuevos ejercicios de 4º Teoría de la Medida: hoja-6-tmed.pdf

4 páginas

He publicado nuevos ejercicios de 4º Teoría de la Medida: hoja-5-tmed.pdf

8 páginas

He publicado nuevos apuntes de 4º Teoría de la Medida: examen-tmed-2007.pdf

3 páginas

He publicado nuevos ejercicios de 4º Teoría de la Medida: ejercicios-tmed-hoja-4.pdf

7 páginas

He publicado nuevos ejercicios de 4º Teoría de la Medida: ejercicios-tmed-hoja-3.pdf

6 páginas

He publicado nuevos ejercicios de 4º Teoría de la Medida: ejercicios-tmed-hoja-1.pdf

4 páginas

He publicado nuevos ejercicios de 4º Teoría de la Medida: ejercicios-tmed-hoja-2.pdf

6 páginas

demos que entran en el examen de tmed

9 páginas

He publicado nuevos ejercicios de 4º Teoría de la Medida: Week-2-Measure-Theory-Exercises.pdf

1 página

He publicado nuevos ejercicios de 4º Teoría de la Medida: Week-3-Measure-Theory-Exercises.pdf

1 página

He publicado nuevos apuntes de 4º Teoría de la Medida: Week-2-Measure-Theory-Notes.pdf

22 páginas

He publicado nuevos apuntes de 4º Teoría de la Medida: Week-1-Measure-Theory-Notes.pdf

30 páginas

He publicado nuevos apuntes de 4º Teoría de la Medida: MTS4.pdf

21 páginas

He publicado nuevos apuntes de 4º Teoría de la Medida: Week-3-Measure-Theory-Notes.pdf

16 páginas

He publicado nuevos apuntes de 4º Teoría de la Medida: Week-5.-Measure-Theory-Notes.pdf

21 páginas

He publicado nuevos apuntes de 4º Teoría de la Medida: Temario-y-ejercicios-Teoria-de-la-medida.pdf

44 páginas

He publicado nuevos apuntes de 4º Teoría de la Medida: Resumen-TMED-Carro.pdf

7 páginas

apuntes

-

Apuntes completos

He publicado nuevos apuntes de 5º Teoría de la Medida: Apuntes completos

Lecture-Notes-8.pdf
Lecture-Notes-9.pdf
Lecture-Notes-4.pdf
Lecture-Notes-6.pdf
Lecture-Notes-5.pdf
Lecture-Notes-10.pdf

apuntes

-

Javier Gómez Gil

He publicado nuevos apuntes de 4º Teoría de la Medida: Javier Gómez Gil

TMcap5.pdf
TMcap1.pdf
TMcap4.pdf
TMcap6.pdf
TMcap2.pdf

examenes

-

Exámenes

He publicado nuevos examenes de 3º Teoría de la Medida: Exámenes

Examenes-teoria-de-la-medida.pdf
Ej2GrupoA.pdf

apuntes

-

Apuntes

He publicado nuevos apuntes de 3º Teoría de la Medida: Apuntes

notaconvergenciafuncionessimples.pdf
Fubini.pdf
mediblecpdmedible.pdf
integraldefuncionessimples.pdf

apuntes

-

Teoría de la Medida

He publicado nuevos apuntes de 3º Teoría de la Medida: Teoría de la Medida

Examen-teoria-de-la-medida.pdf
mediblecpdmedible.pdf
measurecompletiones.pdf
notaconvergenciafuncionessimples.pdf
integraldefuncionessimples.pdf
Fubini.pdf

He publicado nuevos examenes de 3º Teoría de la Medida: examenteomedidaenero20.pdf

2 páginas

He publicado nuevos ejercicios de 4º Teoría de la Medida: ejercicios-resueltos-TMED.pdf

14 páginas

examenes

-

EXÁMENES RESUELTOS

He publicado nuevos examenes de 4º Teoría de la Medida: EXÁMENES RESUELTOS

TMED-TEST-2.pdf
TMED-septiembre-2020.pdf
TMED-enero2020.pdf
TMED-TEST-1.pdf
TMED-examen-parcial.pdf
¡Estás al día!

¡Estás al día!

Has visto todos los archivos