problemas-curso.pdf

Anónimo

apuntes y exámenes

13 archivos·

examen-enero-2019.pdf

1 página

completacion-medida.pdf

3 páginas

examen-enero-2015.pdf

3 páginas

apuntes.pdf

459 páginas

uryshon-y-particiones.pdf

4 páginas

problemas-curso.pdf

5 páginas

ejercicios-resueltos.pdf

44 páginas

teorema-de-fubini.pdf

5 páginas

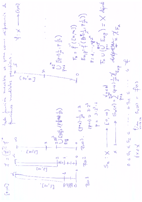
medibles-limite-de-simples.pdf

4 páginas

lebesgue.pdf

12 páginas

exámenes teoría de la medida actualizados (2019-2024).pdf

9 páginas

tests-2015-2016.pdf

4 páginas

notas-dynkin.pdf

14 páginas

content_copy

Archivos recomendados