chevron_left
chevron_right
Todo
Apuntes
Ejercicios
Exámenes
chevron_left
chevron_right

Ejercicios resueltos del curso 25/26 con Mar

34 páginas

Toda la teoría demostrada para el examen de Mar del curso 2025/2026

15 páginas

ejercicios

-

Ejercicios Resueltos TMED

Muchos ejercicios resueltos de TMED en el curso 24/25 con Daniel Azagra

HOJA-1-RESUELTA.pdf
HOJA-2-RESUELTA.pdf
HOJA-3-RESUELTA.pdf
HOJA-4-RESUELTA.pdf
HOJA-5-RESUELTA.pdf
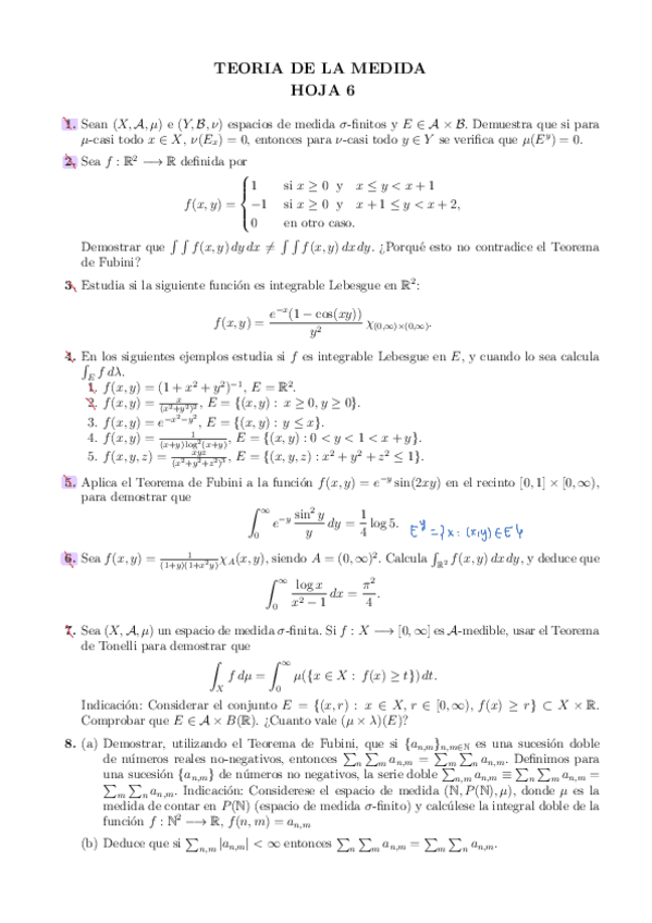
HOJA-6-RESUELTA.pdf

Toda la teoría (sin demostraciones) del curso 24/25 de TMED con Daniel Azagra

24 páginas
Anónimo

@Anónimo

He publicado nuevos examenes de 4º Teoría de la Medida: ExamenTMEnero2024Test-1-1.pdf

1 página
Anónimo

@Anónimo

He publicado nuevos examenes de 4º Teoría de la Medida: ExamenTMEnero2024-1-1.pdf

1 página
Anónimo

@Anónimo

He publicado nuevos examenes de 4º Teoría de la Medida: ExamenTMJunio2024-1-2.pdf

1 página
Anónimo

@Anónimo

He publicado nuevos examenes de 4º Teoría de la Medida: ExamenTMDiciembre2024.pdf

1 página
Anónimo

@Anónimo

He publicado nuevos examenes de 4º Teoría de la Medida: ExamenTMJunio2024Test-1-1.pdf

1 página
Anónimo

@Anónimo

He publicado nuevos examenes de 4º Teoría de la Medida: ExamenTMDiciembre2024Test.pdf

1 página

con las demostraciones de la lista

16 páginas

apuntes

-

Apuntes Teoría de la Medida

He publicado nuevos apuntes de 4º Teoría de la Medida: Apuntes Teoría de la Medida

tema-1.pdf
tema-2.pdf
tema-3.pdf
tema-4.pdf
tema-5.pdf
tema-6.pdf

ejercicios

-

Ejercicios Resueltos

He publicado nuevos ejercicios de 4º Teoría de la Medida: Ejercicios Resueltos

Hoja-1-Medida-Azagra.pdf
Hoja-2-Medida-Azagra.pdf

examenes

-

Exámenes 2024 Azagra

He publicado nuevos examenes de 4º Teoría de la Medida: Exámenes 2024 Azagra

Examen-T-Medida-Azagra-Junio-2024.pdf
Examen-T-Medida-Azagra-Enero-2024.pdf

He publicado nuevos examenes de 4º Teoría de la Medida: Resumen-para-examen-TMED-Azagra.pdf

24 páginas

ejercicios

-

Problemas Resueltos Teoría de la Medida (Azagra)

He publicado nuevos ejercicios de 4º Teoría de la Medida: Problemas Resueltos Teoría de la Medida (Azagra)

Hoja-1.pdf
Hoja-2.pdf
Hoja-3.pdf
Hoja-4.pdf
Hoja-5.pdf
Hoja-6-Hasta-el-15.pdf

apuntes

-

Teoría de la Medida (Azagra)

He publicado nuevos apuntes de 4º Teoría de la Medida: Teoría de la Medida (Azagra)

1-s-Algebras-Borelianos-y-Medidas.pdf
2-Medidas-de-Hausdorff-y-Lebesgue.pdf
3-Funciones-Medibles.pdf
4-La-Integral.pdf
5-La-Integral-y-la-Convergencia.pdf
6-Medida-Producto-y-Fubini.pdf

He publicado nuevos apuntes de 4º Teoría de la Medida: apuntes-TMED-parte-3.pdf

11 páginas

He publicado nuevos apuntes de 4º Teoría de la Medida: apuntes-TMED-parte-1.pdf

11 páginas

He publicado nuevos apuntes de 4º Teoría de la Medida: apuntes-TMED-parte-2.pdf

12 páginas

He publicado nuevos ejercicios de 4º Teoría de la Medida: hoja-6-tmed.pdf

4 páginas

He publicado nuevos ejercicios de 4º Teoría de la Medida: hoja-5-tmed.pdf

8 páginas

He publicado nuevos apuntes de 4º Teoría de la Medida: examen-tmed-2007.pdf

3 páginas

He publicado nuevos ejercicios de 4º Teoría de la Medida: ejercicios-tmed-hoja-4.pdf

7 páginas

He publicado nuevos ejercicios de 4º Teoría de la Medida: ejercicios-tmed-hoja-3.pdf

6 páginas

He publicado nuevos ejercicios de 4º Teoría de la Medida: ejercicios-tmed-hoja-2.pdf

6 páginas

He publicado nuevos ejercicios de 4º Teoría de la Medida: ejercicios-tmed-hoja-1.pdf

4 páginas

demos que entran en el examen de tmed

9 páginas

He publicado nuevos ejercicios de 4º Teoría de la Medida: Week-2-Measure-Theory-Exercises.pdf

1 página

He publicado nuevos ejercicios de 4º Teoría de la Medida: Week-3-Measure-Theory-Exercises.pdf

1 página

He publicado nuevos apuntes de 4º Teoría de la Medida: Week-2-Measure-Theory-Notes.pdf

22 páginas

He publicado nuevos apuntes de 4º Teoría de la Medida: Week-1-Measure-Theory-Notes.pdf

30 páginas

He publicado nuevos apuntes de 4º Teoría de la Medida: MTS4.pdf

21 páginas

He publicado nuevos apuntes de 4º Teoría de la Medida: Week-5.-Measure-Theory-Notes.pdf

21 páginas

He publicado nuevos apuntes de 4º Teoría de la Medida: Week-3-Measure-Theory-Notes.pdf

16 páginas

He publicado nuevos apuntes de 4º Teoría de la Medida: Temario-y-ejercicios-Teoria-de-la-medida.pdf

44 páginas

He publicado nuevos apuntes de 4º Teoría de la Medida: Resumen-TMED-Carro.pdf

7 páginas

apuntes

-

Javier Gómez Gil

He publicado nuevos apuntes de 4º Teoría de la Medida: Javier Gómez Gil

TMcap5.pdf
TMcap1.pdf
TMcap4.pdf
TMcap6.pdf
TMcap2.pdf

He publicado nuevos ejercicios de 4º Teoría de la Medida: ejercicios-resueltos-TMED.pdf

14 páginas

examenes

-

EXÁMENES RESUELTOS

He publicado nuevos examenes de 4º Teoría de la Medida: EXÁMENES RESUELTOS

TMED-TEST-2.pdf
TMED-septiembre-2020.pdf
TMED-enero2020.pdf
TMED-TEST-1.pdf
TMED-examen-parcial.pdf
¡Estás al día!

¡Estás al día!

Has visto todos los archivos