Anónimo
ExamenordinarioResuelto2021
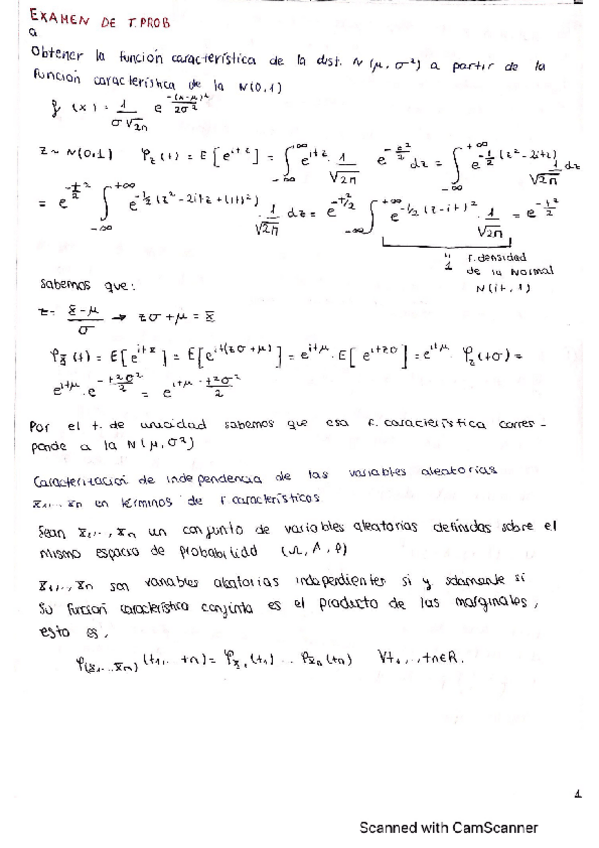
Pregunta1-ExamenTP29Enero2021.pdf
1 página
Pregunta2-ExamenTP29Enero2021.pdf
Pregunta3-ExamenTP29Enero2021.pdf
ExamenOrdinal2021.pdf
11 páginas
Exámenes - preguntas-examenes-resueltas.pdf
pdf
13 páginas
250
1
Apuntes - examenes-y-parciales.pdf
18 páginas
125
3
Apuntes - TEORIA-DE-LA-PROBABILIDAD-apuntes-completos.pdf
36 páginas
163
Exámenes - Primer-Parcial-Resuelto.pdf
6 páginas
212
0
Apuntes - TEORIA-DE-LA-PROBABILIDAD.pdf
167
2
Apuntes - Ejercicios-Parcial-Tema-1-y-2.pdf
10 páginas
194
Apuntes - Examen-Ordinario-Teoria-de-la-Probabilidad.pdf
162
Apuntes - TEMA-1.pdf
146
Ejercicios - Relacion-2-resuelta.pdf
12 páginas
87
Exámenes - parcial-1-2022-teoria-prob.pdf
5 páginas
98
Exámenes - EXAMEN-ORDINARIA-2023.pdf
114
Exámenes - Segundo-Parcial-2023.pdf
Exámenes - Segundo-Parcial-Resuelto.pdf
140
Ejercicios - Relacion-del-TEMA-3.pdf
Exámenes - ExamenOrdinal2021.pdf
124
Apuntes - examen-1-teo.pdf
7 páginas
149
Apuntes - Ejercicios-Parcial-Tema-3-y-4.pdf
126
Exámenes - Primer-Parcial-2324.pdf
2 páginas
95
Exámenes - Primer-Parcial-2023.pdf
4 páginas
89
Apuntes - Examen-Extraordinario-Teoria-de-la-Probabilidad.pdf
135