Portada
Asignatura
Grado en Ingeniería Química Industrial (US)
Teoría de Máquinas y Mecanismos
Fecha de subida
19 feb 2019
Categoría
examenes
Etiquetas
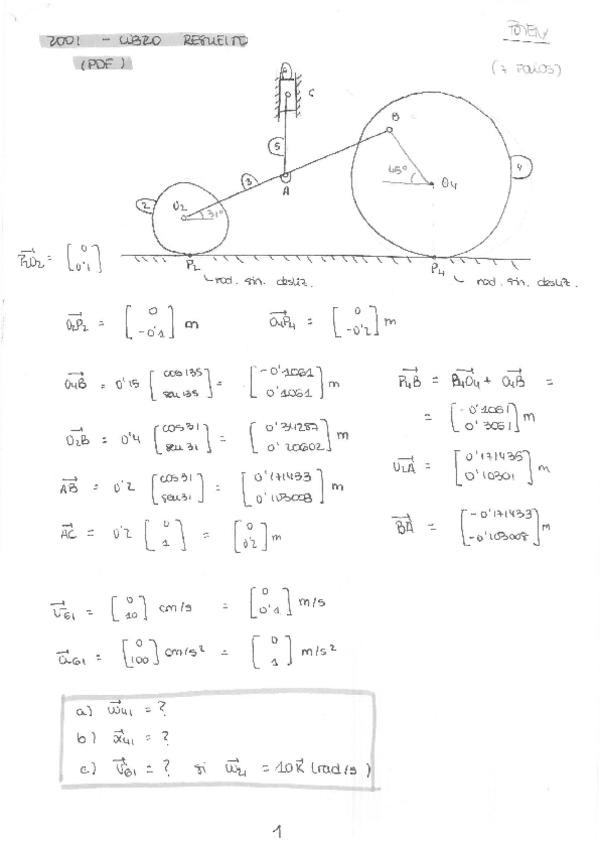
Trabajos - MEMOTMYM-1.pdf
pdf
24 páginas
142
0
Apuntes - Libro de la aignatura.pdf
447 páginas
81
Apuntes - Coleccion-examenes-resueltos.pdf
17 páginas
130
Apuntes - Tema-1.pdf
7 páginas
101
Apuntes - dinamica.pdf
44 páginas
58
Apuntes - Segundo-parcial-Resuelto-TMyM.pdf
10 páginas
99
Apuntes - cinemática.pdf
59 páginas
65
Apuntes - ESQUEMAS.pdf
42
Exámenes - PRIMER-PARCIAL-TEORIA-DE-MAQUINAS-Y-MECANISMOS.pdf
8 páginas
1
Apuntes - Resumen-cinematica.pdf
5 páginas
72
Apuntes - Tema-2.pdf
69
Ejercicios - problemas-examenes-y-libro-resueltos.pdf
43 páginas
63
Exámenes - PARCIAL-1-21.22-RESUELTO.pdf
4 páginas
40
Apuntes - UPC - Problemas resueltos de cinemática de mecanismos planos.pdf
204 páginas
32
Exámenes - Cinemática - 06 Sep.pdf
Exámenes - RECOPILATORIO EXAMENES MÁQUINAS GITI.pdf
665 páginas
36
Apuntes - Tema-3.pdf
12 páginas
47
Apuntes - PROBLEMAS-PROPUESTOS-TEMA1-RESUELTOS.pdf
6 páginas
Apuntes - engranajes.pdf
32 páginas
31
Exámenes - SOLUCIÓN PROB CINEMATICA SEPT17.pdf
3 páginas
39