Portada
Asignatura
Doble Grado en Ingeniería Mecánica y en Ingeniería Eléctrica (UCA)
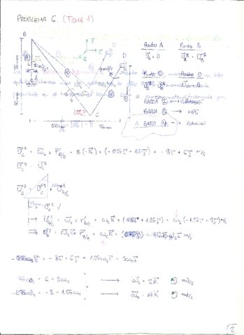
Teoría de Mecanismos y Máquinas
Fecha de subida
21 sep 2019
Categoría
apuntes
Etiquetas
Exámenes - TEORIA-TMM-TIPO-EXAMEN.pdf
pdf
3 páginas
9
0
Apuntes - PRACTICA-5-TMM.pdf
2 páginas
2
Apuntes - ProblemasMOV-RELATIVOT2.pdf
20 páginas
3
Apuntes - Teoria-de-maquinas-Clases.pdf
1 página
Apuntes - PRACTICA-1-TMM.pdf
1
Apuntes - PRACTICA-6-TMM.pdf
Apuntes - TEMA-1-TMM.pdf
26 páginas
Apuntes - TMM-TEMA-2.pdf
29 páginas
Apuntes - ProblemasSIST-INDEFORMABLEST1.pdf
17 páginas
Apuntes - ProblemasDINAMICAT4.pdf
31 páginas
Apuntes - ProblemasMOV-PLANOT3.pdf
Apuntes - PRACTICA-2-TMM.pdf
Apuntes - PRACTICA-4-TMM.pdf
4 páginas
Apuntes - PRACTICA-3-TMM.pdf