Portada
Asignatura
Grado en Ingeniería de Procesos Químicos Industriales (USC)
Termodinámica Aplicada
Fecha de subida
10 jul 2025
Categoría
apuntes
Información
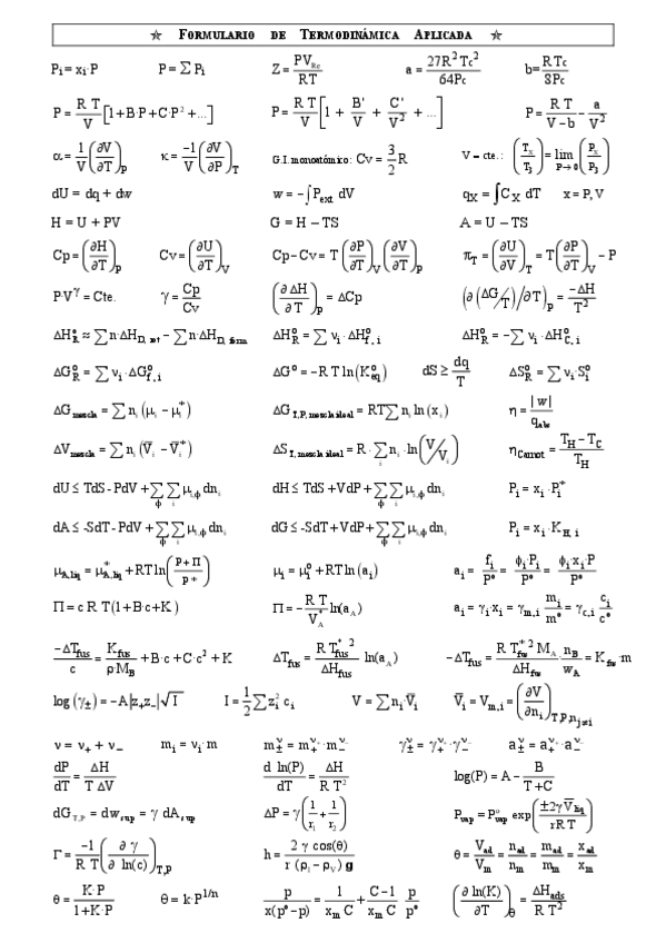
Formulario
Etiquetas
Ejercicios - Ejercicios clase.pdf
pdf
11 páginas
11
0
Apuntes - Tema-0.-Termodinamica.pdf
12 páginas
Apuntes - Tema-5.2.-Termodinamica.pdf
2 páginas
10
Apuntes - Tema-1.-Termodinamica.pdf
8 páginas
8
Apuntes - Tema-5.1.-Termodinamica.pdf
9
Apuntes - Tema-2.-Termodinamica.pdf
10 páginas
Apuntes - Tema-3.-Termodinamica.pdf
13 páginas
Apuntes - Tema-4.-Termodinamica.pdf
1 página
Ejercicios - T5respuestas.pdf
6
Ejercicios - T3.pdf
Prácticas - Practicas-Termodinamica.pdf
6 páginas
Ejercicios - T4respuestas.pdf
Apuntes - TdAp-FORMULARIO.pdf
1
Apuntes - Td.pdf
5
Apuntes - TdAp-Bibliografia-basica.pdf
Apuntes - TdAp-P5.9-resuelto-parc..pdf
Apuntes - Ex.Final-mayo-2025-P3.pdf
Apuntes - TdAp-Tablas-Termodinamicas.pdf
Apuntes - TdAp-Tablas-Matematicas-abreviadas.pdf
Información
Formulario