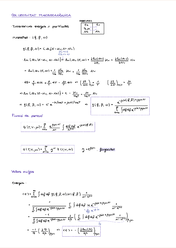
anasf21
11-Collectivitat-Macrocanonica.pdf
7 páginas
Ejercicios - Problemes-Tema-5.pdf
pdf
11 páginas
24
0
Ejercicios - Problemes-Tema-2.pdf
6 páginas
29
Ejercicios - Problemes-Tema-1.pdf
31
Ejercicios - Problemes-Tema-8.pdf
9 páginas
23
Ejercicios - Problemes-Tema-6.pdf
4 páginas
Ejercicios - Problemes-Tema-7.pdf
5 páginas
Ejercicios - Problemes-Temes-3-i-4.pdf
20
Ejercicios - Problemes-Tema-9.pdf
18
Apuntes - 1-Repas-de-Termodinamica.pdf
2 páginas
19
Ejercicios - TME-P1-Exercicis-1-2-3-i-5.pdf
Ejercicios - Problemes-Tema-11.pdf
15
Ejercicios - TME-P2-Exercicis-8-9-10-13-14.pdf
17
Apuntes - 3-Descripcio-microscopica-de-sistemes-microscopics.pdf
Apuntes - 5-Collectivitat-Canonica.pdf
13 páginas
12
Apuntes - 2-Estructura-Formal-de-la-Termodinamica.pdf
Ejercicios - Problemes-Tema-10.pdf
13
1
Apuntes - EntropyOrderParametersComplexity.pdf
371 páginas
Apuntes - 4-Distribucio-de-Maxwell-Boltzmann.pdf
Ejercicios - TME-P3-Exercicis-15-i-16.pdf
3 páginas
Apuntes - 11-Collectivitat-Macrocanonica.pdf
10