Portada
Asignatura
Grado en Ingeniería Mecánica (UNIZAR)
Termodinámica Técnica y Fundamentos de Transmisión de Calor
Fecha de subida
03 ene 2023
Categoría
ejercicios
Etiquetas
Ejercicios - PROBLEMAS.pdf
pdf
29 páginas
473
3
Apuntes - Formulario-Termo-.pdf
3 páginas
379
5
Exámenes - Enero-2016.pdf
249
Exámenes - Teoria-Enero-2016.pdf
5 páginas
282
1
Exámenes - Problemas-examen-resueltos.pdf
17 páginas
209
Ejercicios - Problemas-Termo.pdf
26 páginas
193
6
Apuntes - Formulario-Termo.pdf
167
Exámenes - TEST TERMODINÁMICA.pdf
24 páginas
168
Apuntes - Teoría termodinámica (apuntes de clase)
46 páginas
241
158
Ejercicios - Problemas_resueltos.pdf
179 páginas
124
Apuntes - Apuntes-de-clase-blanco-y-negrocompressed.pdf
70 páginas
223
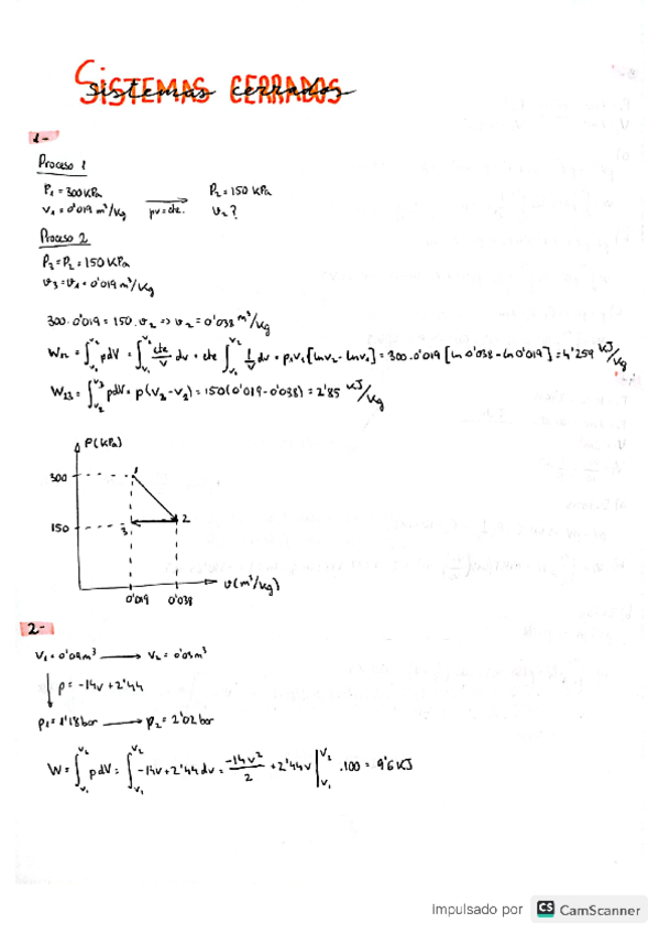
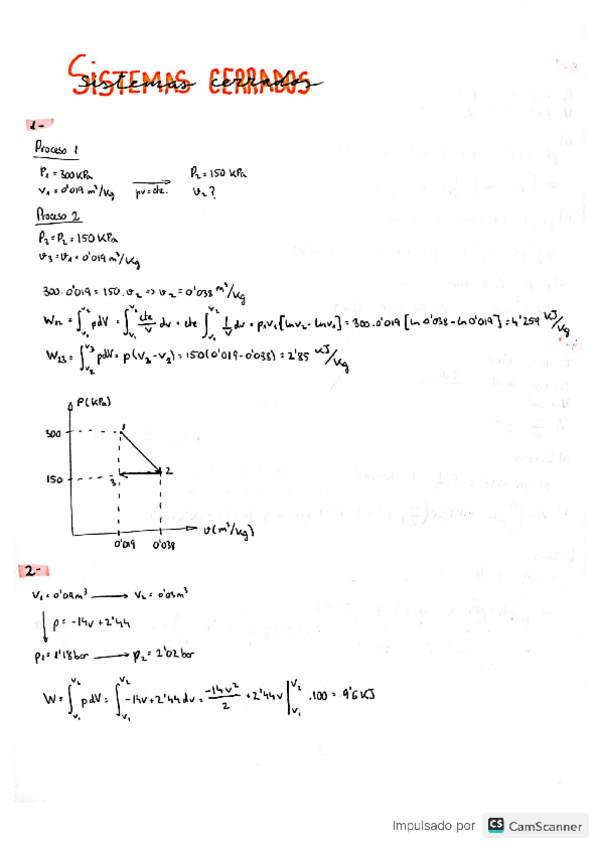
Ejercicios - 1-Problemas-sistemas-cerrados.pdf
178
Apuntes - Digitalizar-27-ene.pdf
6 páginas
250
0
Ejercicios - ejercicios-termodinamica.pdf
25 páginas
187
4
Ejercicios - 2-BdE-en-sistemas-abiertos-.pdf
176
Exámenes - Teoria-Enero-2017.pdf
4 páginas
138
Ejercicios - 6-Problemas-ciclos220905132733.pdf
132
16 páginas
216
Ejercicios - 3-Transitorios-SA220125181544.pdf
1 página
129