Portada
Asignatura
Grado en Bioquímica y Biología Molecular (UJI)
Termodinámica y Cinética
Fecha de subida
04 oct 2024
Categoría
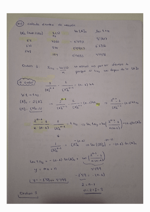
ejercicios
Información
Problemas completos
Etiquetas
Exámenes - Parcial-Termo-3.pdf
pdf
1 página
29
0
Apuntes - EJERCICIOS-CINETICA-2o-BIOQUIMICA.pdf
14 páginas
22
Apuntes - tema-2Cinetica.pdf
9 páginas
23
Ejercicios - problemas-resueltos-de-cinetica.pdf
11 páginas
15
Ejercicios - termo-tension-superficaial-6-9.pdf
4 páginas
13
Apuntes - TERMODINAMICA-BLOQUE-1.pdf
21 páginas
Ejercicios - termo-catalisis-6-10.pdf
5 páginas
12
Ejercicios - termo-tension-superficaial-1-5.pdf
9
Ejercicios - termo-cinetica-6-11.pdf
6 páginas
Apuntes - Formulario-Termodinamica.pdf
2 páginas
8
Ejercicios - termo-catalisis-11-13.pdf
3 páginas
10
Ejercicios - termo-catalisis-1-5.pdf
Apuntes - tema-4.pdf
Ejercicios - problemas-superficies.pdf
Apuntes - TERMODINAMICA-BLOQUE-3.pdf
8 páginas
4
Ejercicios - ejercicios-catalisis.pdf
7 páginas
11
Apuntes - tema-3superficies.pdf
Ejercicios - termo-cinetica-12-17.pdf
7
Apuntes - TERMODINAMICA-BLOQUE-2.pdf
5
Ejercicios - Tema-1-termodinamica.pdf
20 páginas
Información
Problemas completos