Todo
Apuntes
Preguntas
Ejercicios
Exámenes
publication
chevron_left
chevron_right
Anónimo

@Anónimo

He publicado nuevos apuntes de 2º Tratamiento estadístico de señales: SSP-apuntes.pdf

21 páginas
Anónimo

@Anónimo

He publicado nuevos examenes de 2º Tratamiento estadístico de señales: FINAL-EXPLICADO-A-MANO.pdf

9 páginas
Anónimo

@Anónimo

He publicado nuevos examenes de 2º Tratamiento estadístico de señales: FINAL-EXPLICADO-CON-SOLUCIONES-A-MANO.pdf

10 páginas
Anónimo

@Anónimo

He publicado nuevos examenes de 2º Tratamiento estadístico de señales: EXAMEN-RESUELTO-A-MANO-Y-EXPLICADO.pdf

8 páginas
Anónimo

@Anónimo

He publicado nuevos examenes de 2º Tratamiento estadístico de señales: EXAMEN-RESUELTO-A-MANO-Y-EXPLICADO.pdf

8 páginas
Anónimo

@Anónimo

He publicado nuevos apuntes de 2º Tratamiento estadístico de señales: EXAMEN-FNAL-RESUELTO-Y-EXPLICADO.pdf

9 páginas

Cheat sheet Detection Theory

2 páginas
Anónimo

@Anónimo

He publicado nuevos apuntes de 2º Tratamiento estadístico de señales: StatisticalSignalProcessing-1-2-3.pdf

16 páginas
Anónimo

@Anónimo

He publicado nuevos apuntes de 2º Tratamiento estadístico de señales: Main-Concepts.pdf

4 páginas
Anónimo

@Anónimo

ejercicios

-

Exámenes resueltos a mano

He publicado nuevos ejercicios de 2º Tratamiento estadístico de señales: Exámenes resueltos a mano

First-midterms-solved-by-hand.pdf
First-midterms-solved-by-hand.pdf

He publicado nuevos examenes de 2º Tratamiento estadístico de señales: partialETSP2023.pdf

5 páginas

He publicado nuevos apuntes de 2º Tratamiento estadístico de señales: 2.-Estimation-theory.pdf

6 páginas

He publicado nuevos apuntes de 2º Tratamiento estadístico de señales: Stochastic-processes.pdf

8 páginas

He publicado nuevos examenes de 2º Tratamiento estadístico de señales: SSP202406sol.pdf

6 páginas

He publicado nuevos examenes de 2º Tratamiento estadístico de señales: SSP202405sol.pdf

7 páginas

He publicado nuevos examenes de 2º Tratamiento estadístico de señales: SSP202406.pdf

3 páginas

He publicado nuevos examenes de 2º Tratamiento estadístico de señales: SSP202306sol.pdf

8 páginas

He publicado nuevos examenes de 2º Tratamiento estadístico de señales: SSP202405.pdf

3 páginas

He publicado nuevos examenes de 2º Tratamiento estadístico de señales: SSP202305sol.pdf

9 páginas

He publicado nuevos examenes de 2º Tratamiento estadístico de señales: SSP202306.pdf

3 páginas

He publicado nuevos examenes de 2º Tratamiento estadístico de señales: SSP202305.pdf

3 páginas

He publicado nuevos examenes de 2º Tratamiento estadístico de señales: SSP202206.pdf

3 páginas

He publicado nuevos examenes de 2º Tratamiento estadístico de señales: SSP202205.pdf

3 páginas

He publicado nuevos examenes de 2º Tratamiento estadístico de señales: SSP202106.pdf

3 páginas

He publicado nuevos examenes de 2º Tratamiento estadístico de señales: SSP202105.pdf

3 páginas

He publicado nuevos ejercicios de 2º Tratamiento estadístico de señales: ProblemsEstimationTheory.pdf

7 páginas

He publicado nuevos ejercicios de 2º Tratamiento estadístico de señales: ProblemsDetectionTheroy-1.pdf

10 páginas

He publicado nuevos apuntes de 2º Tratamiento estadístico de señales: Formulasparcial1.pdf

1 página

He publicado nuevos ejercicios de 2º Tratamiento estadístico de señales: ExercisesRandomWalksMarkovChains.pdf

11 páginas

He publicado nuevos apuntes de 2º Tratamiento estadístico de señales: FormulasDetectionTheory-1.pdf

2 páginas
Anónimo

@Anónimo

apuntes

-

Notes SSP

He publicado nuevos apuntes de 2º Tratamiento estadístico de señales: Notes SSP

3.-Linear-Filtering.pdf
3.-Linear-Filtering.pdf

He publicado nuevos apuntes de 2º Tratamiento estadístico de señales: Part-1-Detection-Solutions.pdf

10 páginas
Anónimo

@Anónimo

He publicado nuevos apuntes de 2º Tratamiento estadístico de señales: SSPcompleto.pdf

44 páginas

He publicado nuevos apuntes de 2º Tratamiento estadístico de señales: Resumen-Apuntes-P2.pdf

6 páginas

He publicado nuevos apuntes de 2º Tratamiento estadístico de señales: Resumen-Apuntes-P1.pdf

8 páginas

Ejercicios solucionados

Holi :) He subido mi formulario de la asignatura con definiciones y las soluciones digitalizadas de un montón de ejercicios por si a alguien le ayudan en algo. Keep calm y no agobiarse chavales que de todo se sale (de tratamiento estadístico de señales aunque no lo creáis, también)

He publicado nuevos apuntes de 2º Tratamiento estadístico de señales: Formulario-Completo+Definiciones-Clave.pdf

10 páginas

ejercicios

-

EXERCISES

He publicado nuevos ejercicios de 2º Tratamiento estadístico de señales: EXERCISES

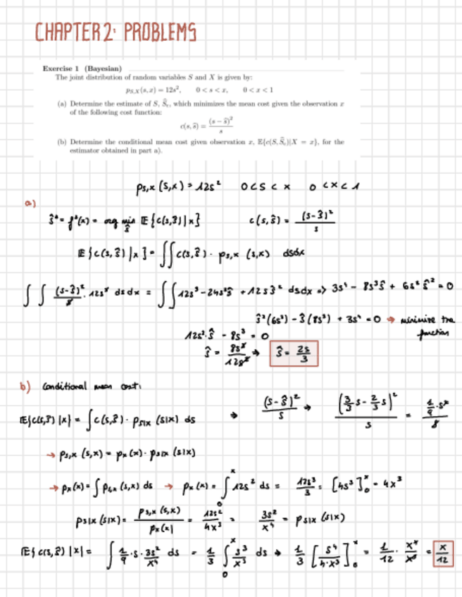
Chapter-2-Problems.pdf
Chapter-2-Problems.pdf
Chapter-1-Problems.pdf
Chapter-1-Problems.pdf

He publicado nuevos apuntes de 2º Tratamiento estadístico de señales: MAIN-CONCEPTS.pdf

2 páginas

apuntes

-

Notes

He publicado nuevos apuntes de 2º Tratamiento estadístico de señales: Notes

Chapter-1-Stochastic-Processes.pdf
Chapter-1-Stochastic-Processes.pdf
Detection-Theory.pdf
Detection-Theory.pdf

He publicado nuevos apuntes de 2º Tratamiento estadístico de señales: iPad Estimation Solutions.pdf

38 páginas

He publicado nuevos apuntes de 2º Tratamiento estadístico de señales: iPad Detection Theory Solutions.pdf

21 páginas

He publicado nuevos apuntes de 2º Tratamiento estadístico de señales: STATISTICAL-SIGNAL-PROCESSING-notes-2.pdf

6 páginas

examenes

-

solución parcial1 2022

He publicado nuevos examenes de 2º Tratamiento estadístico de señales: solución parcial1 2022

PruebaB1A.pdf
PruebaB1A.pdf
PruebaB1B.pdf
PruebaB1B.pdf

He publicado nuevos examenes de 2º Tratamiento estadístico de señales: Final-exam-solutions.pdf

6 páginas

He publicado nuevos apuntes de 2º Tratamiento estadístico de señales: Summaries.pdf

4 páginas

ejercicios

-

Estimation detection solved exercises

He publicado nuevos ejercicios de 2º Tratamiento estadístico de señales: Estimation detection solved exercises

Detection-ejs.pdf
Detection-ejs.pdf
Estimation-ejs.pdf
Estimation-ejs.pdf

apuntes

-

Class notes with examples

He publicado nuevos apuntes de 2º Tratamiento estadístico de señales: Class notes with examples

Topic-2.pdf
Topic-2.pdf
Topic-3.pdf
Topic-3.pdf
topics-0-and-1.pdf
topics-0-and-1.pdf

He publicado nuevos ejercicios de 2º Tratamiento estadístico de señales: ProblemsDetectionsolutions.pdf

35 páginas

He publicado nuevos ejercicios de 2º Tratamiento estadístico de señales: ProblemsEstimationThSolutions.pdf

17 páginas

He publicado nuevos apuntes de 2º Tratamiento estadístico de señales: 1.pdf

15 páginas

ejercicios

-

Ejercicios resueltos y examenes

He publicado nuevos ejercicios de 2º Tratamiento estadístico de señales: Ejercicios resueltos y examenes

EC3GrupoM83Solucion.pdf
EC3GrupoM83Solucion.pdf
EjerciciosMaquinasTuring.pdf
EjerciciosMaquinasTuring.pdf
EC1M12017-18.pdf
EC1M12017-18.pdf

Por favor denunciar al usuario 2_DataScience

Se está cargando los temas con el spameo de carpteas a las que llama "a"

Anónimo

@Anónimo

apuntes

-

statistics

He publicado nuevos apuntes de 2º Tratamiento estadístico de señales: statistics

Gaussian.pdf
Gaussian.pdf
Basics-Statistic.pdf
Basics-Statistic.pdf
EM.pdf
EM.pdf
Anónimo

@Anónimo

apuntes

-

statistics

He publicado nuevos apuntes de 2º Tratamiento estadístico de señales: statistics

Principal-Components-Analysis.pdf
Principal-Components-Analysis.pdf
Gaussian.pdf
Gaussian.pdf
Basics-Statistic.pdf
Basics-Statistic.pdf
Anónimo

@Anónimo

apuntes

-

statistics

He publicado nuevos apuntes de 2º Tratamiento estadístico de señales: statistics

EM.pdf
EM.pdf
KFDA.pdf
KFDA.pdf
Principal-Components-Analysis.pdf
Principal-Components-Analysis.pdf
Anónimo

@Anónimo

apuntes

-

statistics

He publicado nuevos apuntes de 2º Tratamiento estadístico de señales: statistics

discriminant.pdf
discriminant.pdf
SVM.pdf
SVM.pdf
BiasVariance.pdf
BiasVariance.pdf
Anónimo

@Anónimo

apuntes

-

statistics

He publicado nuevos apuntes de 2º Tratamiento estadístico de señales: statistics

Gaussian.pdf
Gaussian.pdf
KPCA.pdf
KPCA.pdf
EM.pdf
EM.pdf
Anónimo

@Anónimo

apuntes

-

statistics

He publicado nuevos apuntes de 2º Tratamiento estadístico de señales: statistics

discriminant.pdf
discriminant.pdf
Gaussian.pdf
Gaussian.pdf
Principal-Components-Analysis.pdf
Principal-Components-Analysis.pdf
Anónimo

@Anónimo

apuntes

-

statistics

He publicado nuevos apuntes de 2º Tratamiento estadístico de señales: statistics

EM.pdf
EM.pdf
SVM.pdf
SVM.pdf
KFDA.pdf
KFDA.pdf