chevron_left
chevron_right
Todo
Apuntes
Exámenes
chevron_left
chevron_right

He publicado nuevos examenes de 2º Tratamiento estadístico de señales: parcial2b2021SSP.pdf

6 páginas

He publicado nuevos examenes de 2º Tratamiento estadístico de señales: parcial22022SSP.pdf

5 páginas

He publicado nuevos examenes de 2º Tratamiento estadístico de señales: parcial22021SSP.pdf

6 páginas

He publicado nuevos examenes de 2º Tratamiento estadístico de señales: parcial22013SSP.pdf

3 páginas

He publicado nuevos examenes de 2º Tratamiento estadístico de señales: parcial22012.pdf

3 páginas

He publicado nuevos examenes de 2º Tratamiento estadístico de señales: parcial1b2021SSP.pdf

4 páginas

He publicado nuevos examenes de 2º Tratamiento estadístico de señales: parcial12021SSP.pdf

4 páginas

He publicado nuevos examenes de 2º Tratamiento estadístico de señales: juneExam2022SSPsolution.pdf

9 páginas

He publicado nuevos examenes de 2º Tratamiento estadístico de señales: juneExam2021SSPsolution.pdf

9 páginas

He publicado nuevos examenes de 2º Tratamiento estadístico de señales: finalExam2021SSPsolution.pdf

8 páginas

He publicado nuevos examenes de 2º Tratamiento estadístico de señales: finalExam2022SSPsolution.pdf

8 páginas

He publicado nuevos examenes de 2º Tratamiento estadístico de señales: final2023consolucion.pdf

9 páginas

He publicado nuevos examenes de 2º Tratamiento estadístico de señales: parcial1SSP2023solucion.pdf

5 páginas

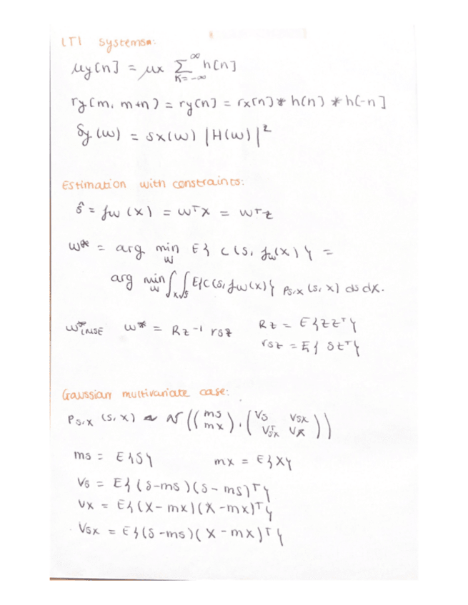
He publicado nuevos apuntes de 2º Tratamiento estadístico de señales: Formulario-para-el-final.pdf

7 páginas
¡Estás al día!

¡Estás al día!

Has visto todos los archivos