Noemi_Martin_Duque2
Ejercicios Resueltos
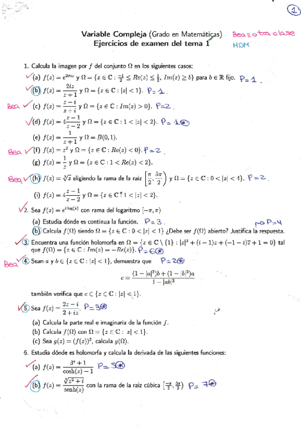
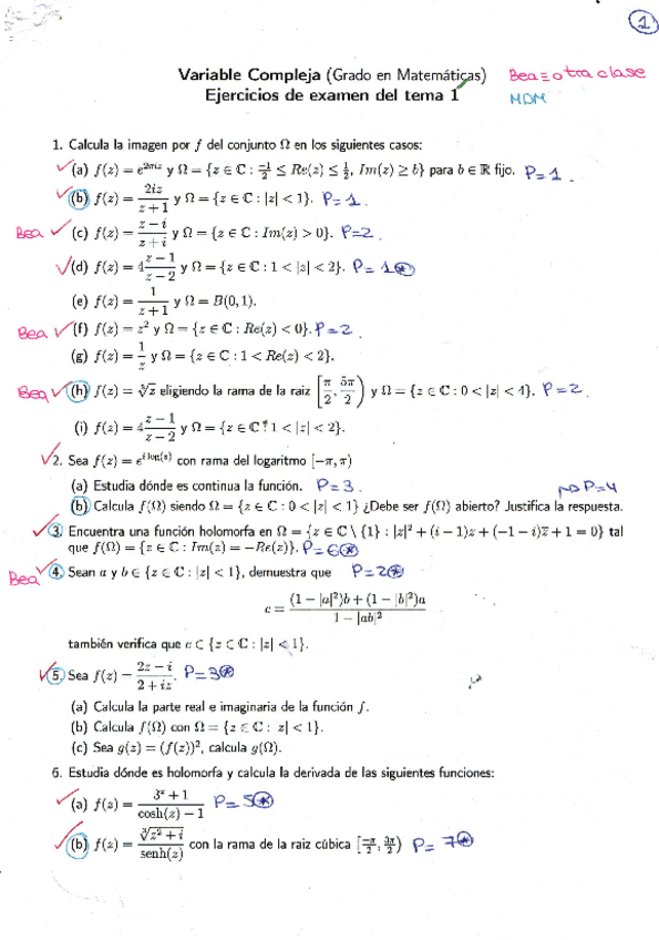
VC EJERCICIOS TEMA 1.pdf
35 páginas
VC EJERCICIOS TEMA 2.pdf
21 páginas
VC EJERCICIOS TEMA 2 CONT..pdf
32 páginas
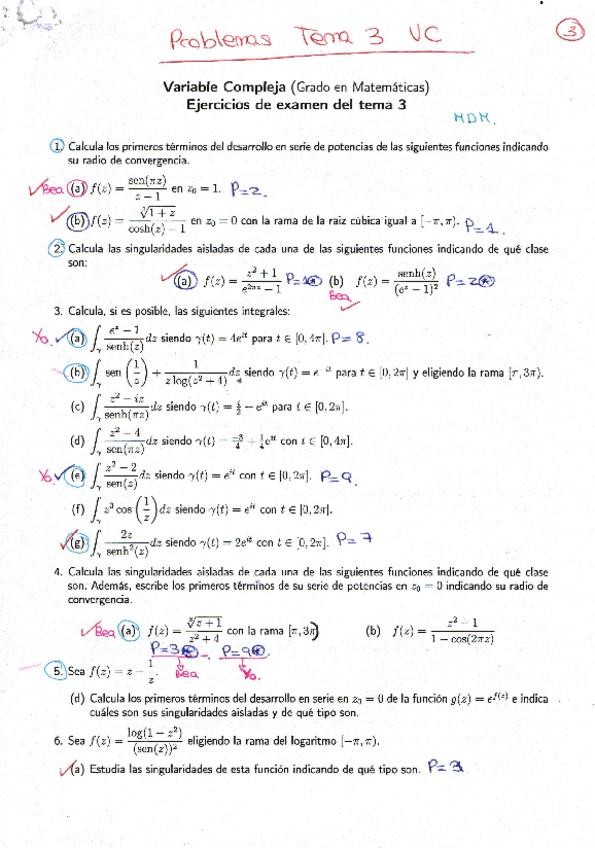
VC EJERCICIOS TEMA 3.pdf
1 página
Ejercicios - tema1.pdf
pdf
318
0
Ejercicios - prop 1.pdf
26 páginas
197
Exámenes - VC RECUPERACION SEP 2016.pdf
15 páginas
186
Exámenes - VC EXAMEN T. 1 NOV 2016.pdf
8 páginas
178
1
Apuntes - Parciales-tema-3-resueltos.pdf
47 páginas
161
Exámenes - VC RECUPERACIONES MARZO 2017.pdf
11 páginas
157
Ejercicios - prop 2.pdf
22 páginas
149
Ejercicios - tema3.pdf
25 páginas
180
Ejercicios - tema2.pdf
174
Ejercicios - VC EJERCICIOS TEMA 1.pdf
105
Apuntes - Soluciones-test-tema-2.pdf
19 páginas
114
Exámenes - VC RECUPERACIONES JULIO 2017.pdf
144
Exámenes - VC EXAMEN T. 2 ENERO 2017.pdf
147
Exámenes - VC RECUPERACION SEP 2017.pdf
137
Exámenes - VC EXAMEN T. 3 FEB 2017.pdf
126
Apuntes - Ejercicios-Examenes-Campus.pdf
96 páginas
86
2
Exámenes - TEMA-1.pdf
28 páginas
97
Apuntes - Soluciones-test-tema-1.pdf
12 páginas
117
Exámenes - compleja-t2.pdf
33 páginas
120
Apuntes - Parciales-tema-2-resueltos.pdf
58 páginas
100