
Ingeniería Ambiental (UdeC)
Concepción
Sube tus apuntes
arrow_forwardAsignaturas de Ingeniería Ambiental (UdeC)
Asignatura
arrow_downward1º
•
0 posts
1º
•
6 posts
4º
•
0 posts
2º
•
0 posts
3º
•
0 posts
3º
•
0 posts
4º
•
0 posts
5º
•
0 posts
2º
•
0 posts
3º
•
0 posts
1º
•
1 posts
2º
•
0 posts
2º
•
0 posts
1º
•
0 posts
3º
•
0 posts
1º
•
2 posts
3º
•
0 posts
4º
•
0 posts
4º
•
0 posts
1º
•
0 posts
4º
•
0 posts
4º
•
0 posts
5º
•
0 posts
3º
•
0 posts
5º
•
0 posts
3º
•
0 posts
1º
•
0 posts
2º
•
0 posts
3º
•
0 posts
2º
•
0 posts
2º
•
0 posts
4º
•
0 posts
3º
•
0 posts
4º
•
0 posts
1º
•
0 posts
1º
•
0 posts
2º
•
0 posts
4º
•
0 posts
5º
•
0 posts
1º
•
0 posts
2º
•
0 posts
2º
•
0 posts
Últimas publicaciones de Ingeniería Ambiental (UdeC)
Hola, subo apuntes de modulo común de ingeniería en mi perfil, sólo hay que buscarlo. He subido controles con solución y pruebas. Saludos.
He publicado nuevos apuntes de 1º Diversidad de la Vida: diversidad-de-la-vida-clase-1-.drawio.pdf
He publicado nuevos apuntes de 1º Diversidad de la Vida: DIVERSIDAD-DE-LA-VIDA-CLASE-2.drawio.pdf
TEORÍA DE LA REFORMA AMBIENTAL. RACIONALIDAD ECOLÓGICA. SOCIEDAD INDUSTRIAL. SOCIEDAD DEL RIESGO. MODERNIZACIÓN REFLEXIVA.
He publicado nuevos apuntes de 2º Sociedad y Ambiente y Conflictos Ambientales: extravismos-y-bienes-comunes-socioambientales.pdf
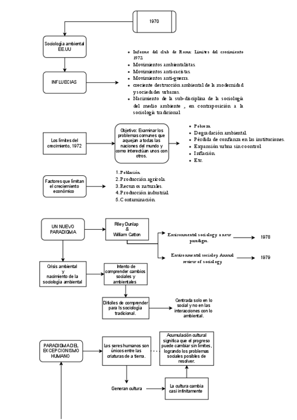
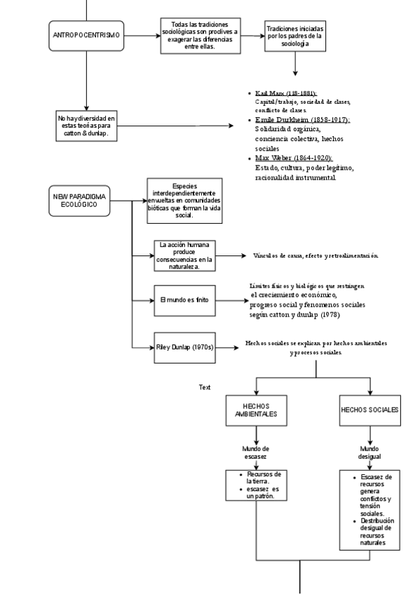
Paradigma del excepcionismo humano. Antropocentrismo. Nuevo paradigma ecológico. Hechos ambientales y sociales. Sociología ambiental de Dunlap. Sociología ambiental EE.UU
IN-FERTILIDAD DEL SUELO. FRACTURA METABOLICA DE LA AGRICULTURA CAPITALISTA EN EL S.XIX. FRACTURA HIDRO-METABÓLICA DEL NEOLIBERALISMO. FRACTURA METABÓLICA COMO CONCEPTO SOCIOAMBIENTAL CLAVE EN LA ECOLOGÍA POLÍTICA CONTEMPORÁNEA.
He publicado nuevos ejercicios de 1º Álgebra y Trigonometría: Guia-de-induccion-progresion-y-teorema-de-binomio2022.pdf
He publicado nuevos ejercicios de 1º Álgebra y Trigonometría: Guia-Numeros-complejos-2022.pdf
He publicado nuevos ejercicios de 1º Álgebra y Trigonometría: Guia-Logica2022.pdf
He publicado nuevos apuntes de 1º Biología Celular Básica: Biomoleculas2022.pdf
He publicado nuevos ejercicios de 1º Álgebra y Trigonometría: Guia-de-Funciones-2022.pdf
He publicado nuevos ejercicios de 1º Álgebra y Trigonometría: Guia-de-funciones-trigonometricas-2022.pdf
He publicado nuevos ejercicios de 1º Álgebra y Trigonometría: Guia-de-funciones-exponencial-y-logaritmo2022.pdf