
Sube tus apuntes
arrow_forwardAsignaturas de Ingeniería Civil (UNAB)
Asignatura
arrow_downward10º
•
0 posts
9º
•
0 posts
3º
•
0 posts
7º
•
0 posts
8º
•
0 posts
3º
•
0 posts
4º
•
1 posts
5º
•
0 posts
7º
•
0 posts
8º
•
1 posts
9º
•
0 posts
3º
•
0 posts
5º
•
0 posts
10º
•
0 posts
3º
•
0 posts
5º
•
0 posts
9º
•
0 posts
4º
•
0 posts
5º
•
0 posts
3º
•
0 posts
6º
•
0 posts
8º
•
0 posts
9º
•
0 posts
9º
•
0 posts
6º
•
0 posts
7º
•
0 posts
3º
•
0 posts
6º
•
0 posts
7º
•
0 posts
7º
•
0 posts
8º
•
0 posts
4º
•
0 posts
7º
•
0 posts
8º
•
0 posts
6º
•
0 posts
10º
•
0 posts
5º
•
0 posts
6º
•
2 posts
4º
•
0 posts
4º
•
0 posts
5º
•
0 posts
Últimas publicaciones de Ingeniería Civil (UNAB)
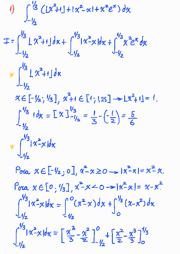
Es de la Universidad Nacional Federico Villareal. Solucionario de la práctica calificada de Cálculo Integral.
Un interesante ejercicio del curso de Concreto Armado I. Espero les sirva.
Este es un ejercicio resuelto por el Método de Trabajo Virtual. Espero sea de ayuda para todos.
Este es un ejercicio resuelto por el Método de Trabajo Virtual. Espero sea de ayuda para todos.