
Ingeniería Civil Industrial (UV)
Valparaíso
Sube tus apuntes
arrow_forwardAsignaturas de Ingeniería Civil Industrial (UV)
Asignatura
arrow_downward1º
•
11 posts
2º
•
2 posts
7º
•
0 posts
9º
•
0 posts
2º
•
6 posts
4º
•
0 posts
3º
•
0 posts
5º
•
2 posts
5º
•
1 posts
6º
•
0 posts
1º
•
2 posts
2º
•
0 posts
10º
•
0 posts
4º
•
0 posts
9º
•
0 posts
10º
•
0 posts
10º
•
0 posts
11º
•
0 posts
5º
•
0 posts
9º
•
0 posts
10º
•
0 posts
4º
•
0 posts
5º
•
0 posts
3º
•
0 posts
2º
•
8 posts
1º
•
2 posts
8º
•
0 posts
8º
•
0 posts
9º
•
0 posts
9º
•
0 posts
9º
•
0 posts
10º
•
0 posts
2º
•
0 posts
3º
•
0 posts
4º
•
0 posts
6º
•
0 posts
1º
•
3 posts
4º
•
0 posts
1º
•
5 posts
8º
•
0 posts
7º
•
1 posts
8º
•
0 posts
9º
•
0 posts
7º
•
0 posts
6º
•
0 posts
7º
•
0 posts
8º
•
0 posts
3º
•
0 posts
6º
•
0 posts
3º
•
0 posts
6º
•
0 posts
5º
•
0 posts
6º
•
0 posts
7º
•
2 posts
Últimas publicaciones de Ingeniería Civil Industrial (UV)
He publicado nuevos apuntes de 7º Macroeconomía: APUNTES-de-MACROECONOMIA.docx
He publicado nuevos ejercicios de 1º Informática I: GutierrezOyarzunMarcela.xlsx
He publicado nuevos apuntes de 7º Tipe Sello Uv III: Bitacora-Marcela-Gutierrez-Oyarzun.pdf
He publicado nuevos trabajos de 7º Tipe Sello Uv III: TEST-DE-USABILIDAd.pdf
He publicado nuevos apuntes de 1º Informática I: Ejercicios-con-Mientras.pdf
He publicado nuevos ejercicios de 1º Informática I: PROCESOS INDUSTRIALES Ejercicio resuelto de mecanismo paredes.pdf
He publicado nuevos trabajos de 11º Taller de Integración de Ingeniería Industrial III: Modelacion-secuencia-de-actividades.pdf
He publicado nuevos trabajos de 5º Contabilidad Financiera: Analisis-financiero.pdf
He publicado nuevos apuntes de 5º Ciencia y Tecnologia de los Materiales: RESUMEN-PRUEBA-N1-CIENCIAS-DE-LOS-MATERIALES.docx.pdf
He publicado nuevos trabajos de 5º Ciencia y Tecnologia de los Materiales: PRMMC-INFORME-FINAL.pdf
He publicado nuevos ejercicios de 2º Cálculo Diferencial: Guia-6-Calculo-I-IAM2017-2-Continuidad.pdf
He publicado nuevos ejercicios de 2º Cálculo Diferencial: Guia-5-Calculo-I-IAM2017-2-Calculo-de-limites-laterales.pdf
He publicado nuevos ejercicios de 2º Cálculo Diferencial: Guia-4-Calculo-I-IAM2017-2-Calculo-de-limites--trigonometricos-y-exponenciales.pdf
He publicado nuevos ejercicios de 2º Cálculo Diferencial: Guia-2-Calculo-I-IAM2017-2-Limite-por-definicion.pdf
He publicado nuevos ejercicios de 2º Cálculo Diferencial: Guia-3-Calculo-I-IAM2017-2-Calculo-de-limites--raices-y-polinomios.pdf
He publicado nuevos ejercicios de 2º Cálculo Diferencial: Guia-1-Calculo-I-IAM2017-2-definicion-intuitiva.pdf
He publicado nuevos apuntes de 1º Introducción a la ingeniería industrial: Ingenieria-e-Industrias20183.pdf
He publicado nuevos apuntes de 1º Introducción a la ingeniería industrial: Ingenieria-e-Industrias20182.pdf
He publicado nuevos apuntes de 1º Introducción a la ingeniería industrial: Ingenieria-e-Industrias20181.pdf
He publicado nuevos examenes de 1º Introducción a la ingeniería industrial: Pauta-Prueba-1.pdf
He publicado nuevos ejercicios de 1º Fundamentos de Matemática: funciones-resueltos.pdf
He publicado nuevos ejercicios de 1º Fundamentos de Matemática: ejercicios-funcion-exponencial-y-logaritmica.pdf
He publicado nuevos ejercicios de 2º Fundamentos de Física: modelos-de-regresionresueltos.pdf
He publicado nuevos ejercicios de 2º Fundamentos de Física: Taller-6-Ecuaciones-de-Newton-2.pdf
He publicado nuevos ejercicios de 2º Fundamentos de Física: Torque-ejercicios-resueltos.pdf
He publicado nuevos apuntes de 2º Fundamentos de Física: Error-absoluto-error-relativo.pdf
He publicado nuevos ejercicios de 2º Fundamentos de Física: Ejercicios-Prueba-de-fuerzas-y-torque.pdf
He publicado nuevos otros de 2º Fundamentos de Física: Graficas-y-escalas-analisis-de-datos-regresion-lineal.pdf
He publicado nuevos apuntes de 2º Fundamentos de Física: fundamentos-fisicos.pdf
He publicado nuevos otros de 2º Fundamentos de Física: DINAMICA-fundamento-de-fisica-leyes-de-newton.pdf
He publicado nuevos apuntes de 2º Algebra Diferencial: algebra-lineal-parte-2.pdf
He publicado nuevos apuntes de 2º Algebra Diferencial: algebra-lineal-unidad-1-hasta-medio-semestre.pdf
He publicado nuevos trabajos de 1º Desarrollo Personal I: Minera-Dominga.pdf
He publicado nuevos trabajos de 1º Desarrollo Personal I: PLANTILLA-DES.-PERSONAL.xlsx-MAYO.pdf
He publicado nuevos apuntes de 1º Álgebra: Control-N5-MatI-IAM2017-Grupo-A-PAUTA.pdf
He publicado nuevos examenes de 1º Álgebra: Control-N4-MatI-IAM2017-Grupo-A-Pauta.pdf
He publicado nuevos examenes de 1º Álgebra: Control-N3-MatI-IAM2017-Grupo-A-PAUTA.pdf
He publicado nuevos ejercicios de 1º Álgebra: Ecuaciones-con-y-sin-enunciados-Guia-9-MATIIAM2017.pdf
He publicado nuevos ejercicios de 1º Álgebra: Operatoria-Basica-de-Matrices-y-Sistemas-de-Ecuaciones-guia-6-MATIIAM2017.pdf
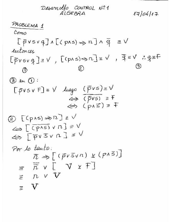
He publicado nuevos ejercicios de 1º Álgebra: Guia-1-logica-conectivos-logicos-ALGEBRA.pdf
He publicado nuevos examenes de 1º Álgebra: desarrollo-prueba-1-algebra-1er-semestre2017-logica-conjunto-recta.pdf
He publicado nuevos examenes de 1º Álgebra: pauta-control-1-ALGEBRA-UV-proposiciones-cardinalidades-y-operaciones-de-conjunto.pdf
Pauta de prueba de álgebra primer semestre de ingeniería civil ambiental
es el informe de practica 1 de la carrera de ingeniería civil ambiental
He publicado nuevos trabajos de 2º Mundo Contemporáneo y Desafíos de las Ingeniería: infografia Asesinatos en Iowa analisis estadistico.pdf
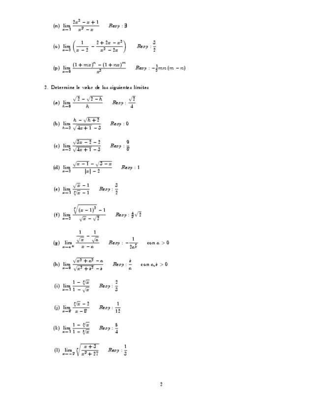
He publicado nuevos ejercicios de 1º Álgebra: Algebra logica proposicional Ingenieria civil industrial ejercicios.pdf