
Sube tus apuntes
arrow_forwardAsignaturas de Portovello - Administración y Finanzas
Asignatura
arrow_downward0 posts
0 posts
4 posts
0 posts
2 posts
0 posts
0 posts
Últimas publicaciones de Portovello - Administración y Finanzas
ejercicios
-
Fiscalidad
Ejercicios 2019
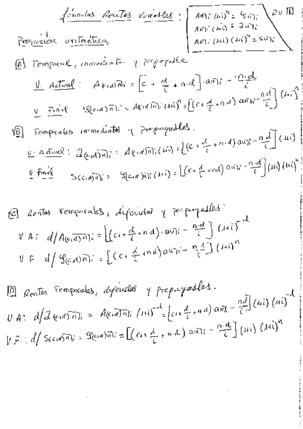
apuntes
-
RENTAS
He publicado nuevos apuntes de Gestión financiera: RENTAS
apuntes
-
CAPITALIZACION Y DESCUENTOS
He publicado nuevos apuntes de Gestión financiera: CAPITALIZACION Y DESCUENTOS
apuntes
-
TEMAS 1 A 8
He publicado nuevos apuntes de GESTION DE LA DOCUMENTACION JURIDICA: TEMAS 1 A 8
ejercicios
-
SOLUCIONARIOS
He publicado nuevos ejercicios de GESTION DE LA DOCUMENTACION JURIDICA: SOLUCIONARIOS
apuntes
-
temas 1 a 7
He publicado nuevos apuntes de Contabilidad y Fiscalidad: temas 1 a 7
ejercicios
-
boletines 11 a 16
He publicado nuevos ejercicios de Contabilidad y Fiscalidad: boletines 11 a 16
ejercicios
-
boletines 1 a 10
He publicado nuevos ejercicios de Contabilidad y Fiscalidad: boletines 1 a 10