@4_7_V8_

20 Publicaciones

109 Interacciones

1 Seguidores

0 Siguiendo

Lista de publicaciones de 4_7_V8_

He publicado nuevos apuntes de 3º Ingeniería Térmica: t-s-DiagrammWasserdampf.pdf

1 página

test

-

prueba seguimiento 3

He publicado nuevos test de 1º Estadística: prueba seguimiento 3

1.PNG
2.PNG
3.PNG
4.PNG
5.PNG

practicas

-

Todos los informes de prácticas

He publicado nuevos practicas de 1º Química: Todos los informes de prácticas

Informe Práctica 1 Química..docx
informe practica 2.docx
practica 3.docx
Informe Practica 4.docx
Informe Práctica 5.docx

apuntes

-

Practicas Fisica 1 expliacadas

He publicado nuevos apuntes de 1º Física I: Practicas Fisica 1 expliacadas

PRÁCTICA 2_MRUA.docx
PRÁCTICA 5_Rozamiento.docx
PRÁCTICA 4_Rueda de Maxwell.docx

apuntes

-

Practicas fisica 2

He publicado nuevos apuntes de 1º Física II: Practicas fisica 2

Práctica 1.A. Medidas de la conductividad eléctrica de metales.docx
Práctica 2. A. Ley de Ohm.doc
Práctica 2.B. Puente de Wheatstone o de hilo.doc
Práctica 3. Carga y descarga de un condensador (1).docx
Práctica 4. Oscilaciones (1).docx

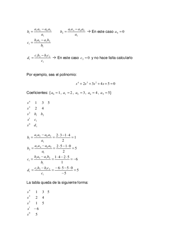
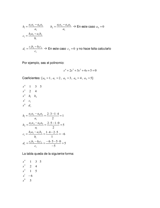
He publicado nuevos apuntes de 2º Automática: Routh y estabilidad.pdf

6 páginas