@_fatimacuri03_

12 Publicaciones

305 Interacciones

2 Seguidores

0 Siguiendo

Lista de publicaciones de _fatimacuri03_

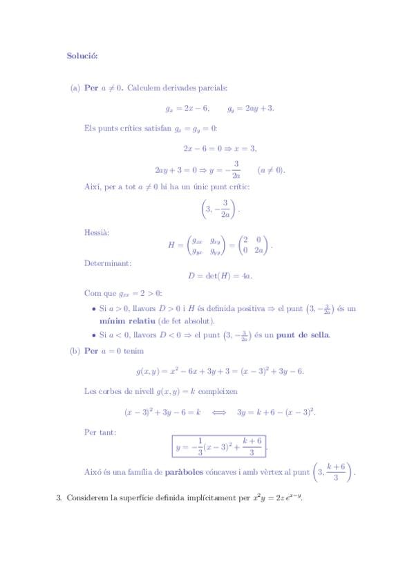
Solució de la recuperació de càlcul vectorial del curs 25-26.

6 páginas

Resolució del segon seminari de CF.

4 páginas

Correcció de la pràctica de Balanç de matèria. Nota: 8

32 páginas

Correcció de la pràctica VISC.CONC.

18 páginas

Resolució del primer parcial del curs (22-23)

6 páginas

Enunciat del primer parcial del curs (22-23)

1 página

Resolució de la segon Examen de Fonaments del curs 2024-25

8 páginas

Enunciat del segon examen de Fonaments del curs 2024-25

3 páginas

Enunciat de la tercera evidència (24-25)

2 páginas

Resolució de la segona evidència (2024-25)

5 páginas

Resolució de la primera evidència (2024-2025)

8 páginas

Apunts dels temes 3, 4, 5 i 6. Any acadèmic: 2024/2025

39 páginas