@_martiiinez

Estudios: Grado en Economía (UAL) ...Mostrar más

104 Publicaciones

2.39k Interacciones

11 Seguidores

0 Siguiendo

Lista de publicaciones de _martiiinez

He publicado nuevos ejercicios de 3º Economía Financiera: Practica-3-Resuelta.pdf

6 páginas

He publicado nuevos ejercicios de 3º Economía Financiera: Practica-2-Resuelta.pdf

6 páginas

He publicado nuevos ejercicios de 3º Economía Financiera: Practica-1-Resuelta.pdf

7 páginas

He publicado nuevos apuntes de 2º Economía del Sector Público: Preguntas-examen-resueltas.pdf

4 páginas

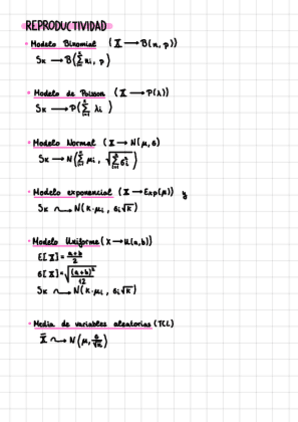
He publicado nuevos apuntes de 2º Estadística Avanzada: Resumen-Parcial-2.pdf

5 páginas

He publicado nuevos apuntes de 2º Estadística Avanzada: Resumen-T.1.pdf

1 página

He publicado nuevos apuntes de 2º Estadística Avanzada: Ejercicios-complementarios.pdf

5 páginas

He publicado nuevos apuntes de 2º Estadística Avanzada: Ejercicios y teoría -GT-Todos.pdf

40 páginas

ejercicios

-

Ejercicios Resueltos

He publicado nuevos ejercicios de 2º Microeconomía II: Ejercicios Resueltos

Tema-2.pdf
Tema-4.pdf
Tema-6.pdf
Tema-1.pdf
Tema-5.pdf
Tema-3.pdf

apuntes

-

Resúmenes todos los temas

He publicado nuevos apuntes de 1º Introducción al Marketing: Resúmenes todos los temas

TEMA-1.pdf
TEMA-2.pdf
TEMA-3.pdf
TEMA-4.pdf
TEMA-5.pdf

apuntes

-

Resúmenes completos

He publicado nuevos apuntes de 2º Economía del Sector Público: Resúmenes completos

TEMA-1.pdf
TEMA-2.pdf
TEMA-3.pdf
TEMA-4.pdf
TEMA-5.pdf
TEMA-6.pdf

ejercicios

-

Ejercicios resueltos

He publicado nuevos ejercicios de 2º Microeconomía II: Ejercicios resueltos

SOLUCIONES-EJERCICIOS-TEMA-11.pdf
SOLUCIONES-EJERCICIOS-TEMA-2-I.pdf
SOLUCIONES-EJERCICIOS-TEMA-2-II.pdf
SOLUCIONES-EJERCICIOS-TEMA-3-I.pdf
SOLUCIONES-EJERCICIOS-TEMA-3-II.pdf
SOLUCIONES-EJERCICIOS-TEMA-3-III.pdf

apuntes

-

Esquemas de todos los temas

He publicado nuevos apuntes de 1º Análisis Matemático: Esquemas de todos los temas

Esquema-T.5.pdf
Esquema-T.2-y-criterios-convergencia.pdf
Esquema-T.4.pdf
Esquema-T.3.pdf