@_OAT_

151 Publicaciones

2.63k Interacciones

0 Seguidores

1 Siguiendo

Lista de publicaciones de _OAT_

examenes

-

Recuperacion 1er Parcial años Anteriores

He publicado nuevos examenes de 1º Fundamentos de Computadores: Recuperacion 1er Parcial años Anteriores

2016-2017.pdf
2019-2020.pdf
2020-2021.pdf

apuntes

-

Apuntes

He publicado nuevos apuntes de 1º Introducción a la informática y a la programación: Apuntes

T.1.pdf
T.2.pdf
T.3.pdf
T.4.pdf
T.5.pdf
T.6.pdf

apuntes

-

Apuntes

He publicado nuevos apuntes de 1º Matemática Discreta: Apuntes

T.1.pdf
T.2-Parte-1.pdf
T.2-Parte-2.pdf
T.2-Parte-3.pdf
T.4.pdf
T.3.pdf

examenes

-

2º Parcial años Anteriores

He publicado nuevos examenes de 2º Fundamentos de Sistemas Operativos: 2º Parcial años Anteriores

2021-2022.pdf

examenes

-

1er Parcial años Anteriores

He publicado nuevos examenes de 1º Apuntes Variados: 1er Parcial años Anteriores

2015-2016.pdf
2020-2021.pdf
2021-2022.pdf

apuntes

-

Aplicaciones de Aritmética Modular

He publicado nuevos apuntes de 1º Matemática Discreta: Aplicaciones de Aritmética Modular

Aplicaciones-AritmMod.pdf
cifrado.pdf
digitoscontrol.pdf
FastadderLidlpilz.pdf
NIFISBN.pdf

apuntes

-

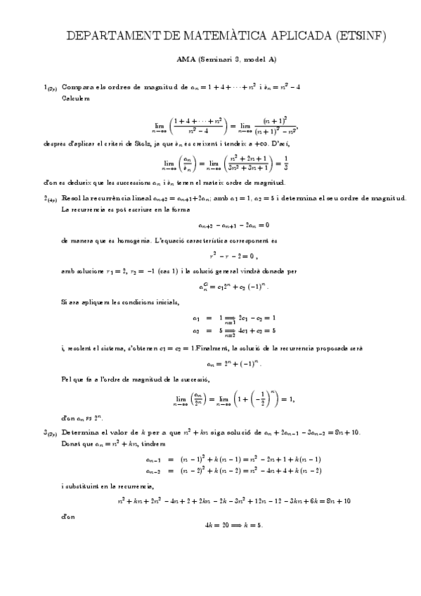
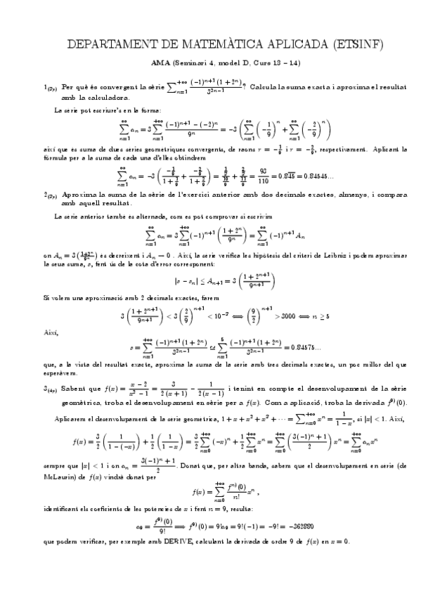
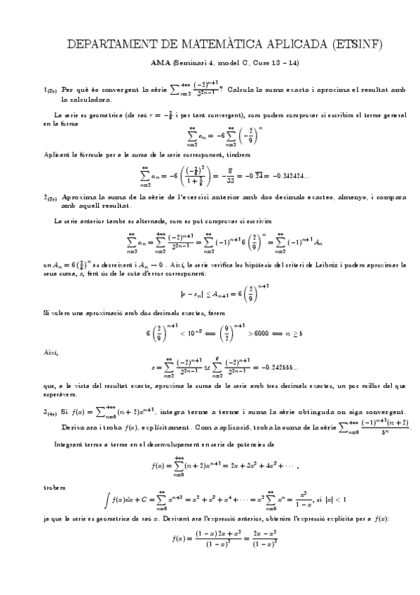
Seminarios Solucionados

He publicado nuevos apuntes de 1º Análisis Matemático: Seminarios Solucionados

Solucion-Seminario-A-T.5-y-T.6.pdf
Solucion-Seminario-B-T.5-y-T.6.pdf
Solucion-Seminario-C-T.5-y-T.6.pdf
Solucion-Seminario-D-T.5-y-T.6.pdf
Solucion-Seminario-E-T.5-y-T.6.pdf
Solucion-Seminario-A-T.4.pdf

apuntes

-

Seminarios

He publicado nuevos apuntes de 1º Análisis Matemático: Seminarios

Seminario-A-T.4.pdf
Seminario-B-T.4.pdf
Seminario-C-T.4.pdf
Seminario-D-T.4.pdf
Seminario-A-T.5-y-T.6.pdf
Seminario-B-T.5-y-T.6.pdf