@_SyntaxError_

Estudios: Bachillerato ...Mostrar más

50 Publicaciones

1.37k Interacciones

2 Seguidores

0 Siguiendo

Lista de publicaciones de _SyntaxError_

He publicado nuevos ejercicios de 2º Estructura de Datos y Algoritmos I: Ejercicio-2b-practicas-Ord2025.pdf

2 páginas

He publicado nuevos examenes de 2º Estructura de Datos y Algoritmos I: Ejercicio-2a-practicas-Ord2025.pdf

1 página

He publicado nuevos examenes de 2º Estructura de Datos y Algoritmos I: Ejercicio-3-practicas-Ord2025.pdf

1 página

apuntes

-

Relaciones ALgoritmica 2 3 y 4

He publicado nuevos apuntes de 1º Lógica y Algorítmica: Relaciones ALgoritmica 2 3 y 4

SolRelacion3.pdf
SolRelacion2.pdf
ejer4MasterTeo.pdf

apuntes

-

Examen-MP-Ordinaria2024-Estructura-De-Datos

He publicado nuevos apuntes de 1º Metodología de la Programación: Examen-MP-Ordinaria2024-Estructura-De-Datos

GenericJosephusQueue.pdf
GenericJosephusSalvarQueue.pdf

apuntes

-

MP2024-----Practica_08

He publicado nuevos apuntes de 1º Metodología de la Programación: MP2024-----Practica_08

ConjuntoDatos.pdf
Estadistica.pdf
UtilidadesArchivos.pdf

apuntes

-

MP2024-----Practica_06

He publicado nuevos apuntes de 1º Metodología de la Programación: MP2024-----Practica_06

CircularList.pdf
Evaluador.pdf
GenericJosephusCircular.pdf
GenericJosephusQueue.pdf

apuntes

-

MP2024-----Practica_05

He publicado nuevos apuntes de 1º Metodología de la Programación: MP2024-----Practica_05

ArrayQueue.pdf
ArrayStack.pdf
LinkedListQueue.pdf
LinkedListStack.pdf
NodeQueue.pdf
NodeStack.pdf

practicas

-

MP2024-----Practica_03

Actualizado

ArrayDinamico.pdf
ArrayDinamicoEnteros.pdf
ArrayDinamicoObjects.pdf
MatrizDouble.pdf
MatrizEntera.pdf
MatrizEnteros.pdf

practicas

-

MP2024-----Practica_02

Clases sin JavaDoc

SorteoMesasApp.pdf
Municipio.pdf
MesaElectoral.pdf
Ciudadano.pdf

practicas

-

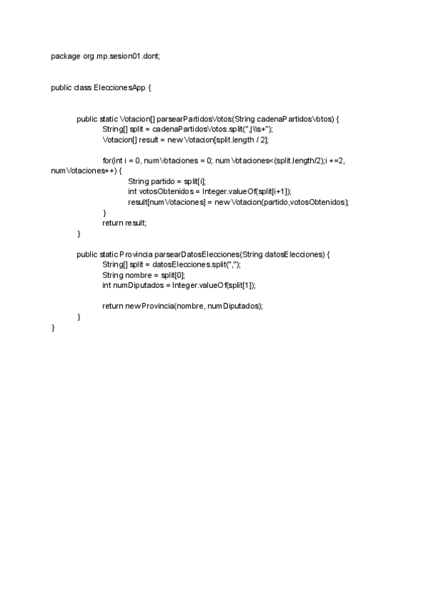
MP2024-----Practica_01

He publicado nuevos practicas de 1º Metodología de la Programación: MP2024-----Practica_01

Reparto.pdf
Provincia.pdf
Votacion.pdf
EleccionesApp.pdf
Baraja.pdf
Mayor.pdf