@A_Mielgo

Estudios: Grado en Historia (UAH) ...Mostrar más

13 Publicaciones

403 Interacciones

0 Seguidores

1 Siguiendo

Lista de publicaciones de A_Mielgo

He publicado nuevos examenes de 1º Orígenes de Europa en la edad media: Segundo-parcial-parte-practica-curso-2023.pdf

1 página

He publicado nuevos examenes de 1º Orígenes de Europa en la edad media: Segundo-parcial-parte-teorica-curso-2023.pdf

1 página

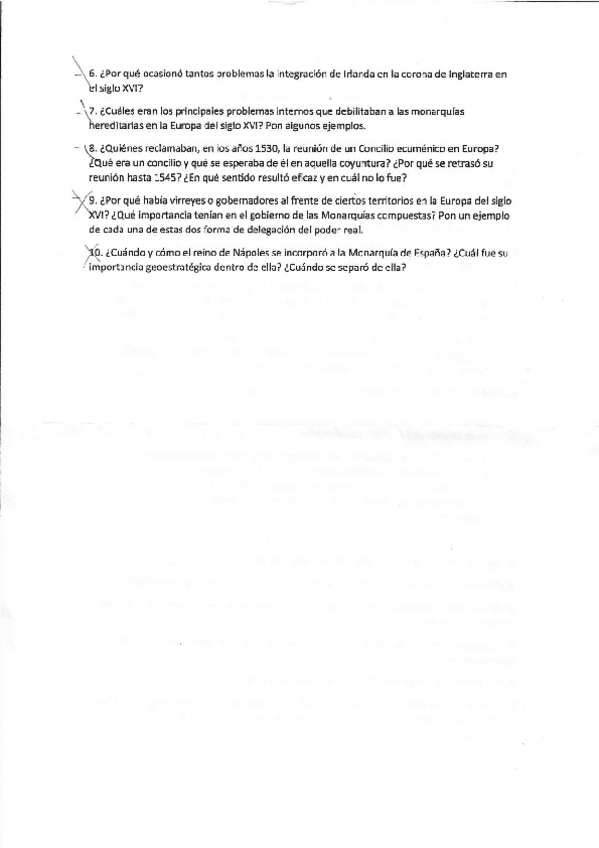
He publicado nuevos examenes de 1º Historia de Europa en la edad moderna: 2023-mayo-19-Europa-moderna.-1689.docx.pdf

5 páginas

He publicado nuevos examenes de 1º Historia de Europa en la edad moderna: 1o-parcial-Edad-Moderna-parte-2.pdf

1 página

He publicado nuevos examenes de 1º Historia de Europa en la edad moderna: 1o-parcial-Edad-Moderna-parte-1.pdf

1 página

He publicado nuevos examenes de 1º Orígenes de Europa en la edad media: Segunda-parte-del-primer-examen-curso-20222023.pdf

1 página

He publicado nuevos examenes de 1º Orígenes de Europa en la edad media: Primer-examen-medieval-curso-20222023.pdf

1 página

He publicado nuevos apuntes de 1º Historia del Pensamiento Político: HISTORIA-DEL-PENSAMIENTO-POLITICO.pdf

11 páginas

He publicado nuevos examenes de 1º Historia social de la cultura escrita: 1o-examen-parcial-2022.pdf

1 página

He publicado nuevos examenes de 1º Historia social de la cultura escrita: 2o-examen-parcial-2023.pdf

1 página

He publicado nuevos apuntes de 1º Historia de la antigüedad I: HISTORIA-ANTIGUA-I.pdf

55 páginas

He publicado nuevos apuntes de Matemáticas aplicadas a las Ciencias Sociales II: Apuntes-Matematicas CCSS II.pdf

138 páginas