@aanasedano
Estudios: Grado en Ingeniería Informática (ULe)
1 Publicaciones
196 Interacciones
0 Seguidores
0 Siguiendo
Lista de publicaciones de aanasedano
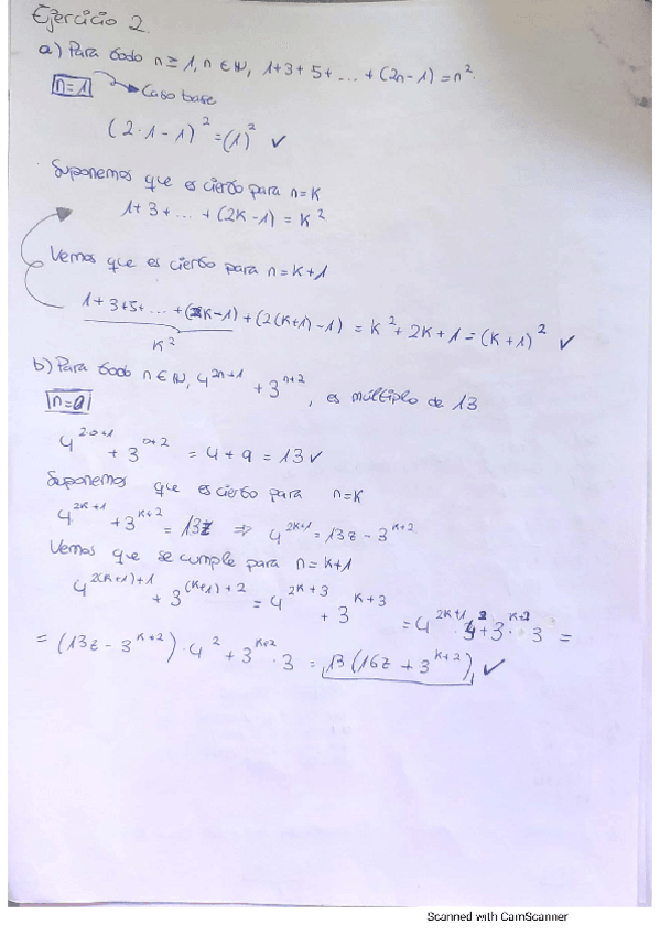
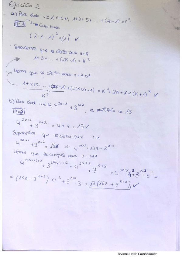
He publicado nuevos apuntes de 2º Algoritmos y Grafos: Ejercicios-algoritmos.pdf
1 Publicaciones
196 Interacciones
0 Seguidores
0 Siguiendo
He publicado nuevos apuntes de 2º Algoritmos y Grafos: Ejercicios-algoritmos.pdf