@ABQLearning_

Estudios: Grado en Matemáticas (UCA) ...Mostrar más

Bio: ¡Subo apuntes diariamente!

31 Publicaciones

257 Interacciones

5 Seguidores

1 Siguiendo

Lista de publicaciones de ABQLearning_

apuntes

-

Prácticas Completas LIQ

Todas las prácticas completas

LIQ-P01.pdf
LIQ-P02.pdf
LIQ-P03-Parte-1.pdf
LIQ-P03-Parte-2.pdf
LIQ-P04.pdf
LIQ-P05.pdf

apuntes

-

TEMAS QUÍMICA ORGÁNICA

Temas con las todas las reacciones

T9DerivadosNitrogenados.pdf
T4Alquinos.pdf

He publicado nuevos apuntes de 1º Física I: TEMA-2-CINEMATICA-DE-LA-PARTICULA.pdf

17 páginas

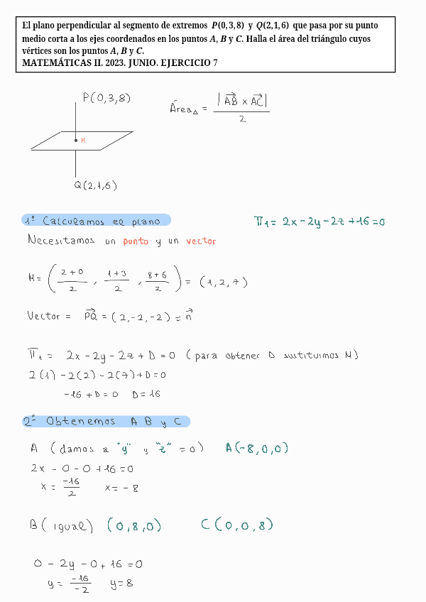
He publicado nuevos apuntes de Matemáticas II: TEMA-3-ESPACIO-AFIN-Y-EUCLIDEO-EJERCICIOS.pdf

82 páginas

Ejercicios explicados

9 páginas

Aquí teneis muchos ejercicios hechos de diferentes años

36 páginas

Ideas fundamentales para comprender la temática e ideología de la obra "La Casa De Bernarda Alba"

4 páginas

Ideas fundamentales para comprender la temática, ideología y estructura de la obra "El cuarto de atrás" de Carmen Martin Gaite

4 páginas

Ideas fundamentales para comprender la temática e ideología del libro "El árbol de la ciencia"

4 páginas

He publicado nuevos apuntes de Lengua Castellana y Literatura II: FORMACION-DE-PALABRAS-2BACH-EVAU.pdf

4 páginas

Como enfrentarse a la pregunta 4b de formación de palabras con explicación y ejemplos

5 páginas

He publicado nuevos apuntes de Lengua Castellana y Literatura II: MORFOLOGIA-2BACH-EVAU.pdf

4 páginas

He publicado nuevos practicas de 1º Química I: Mercury-2024-2025.pdf

1 página

He publicado nuevos apuntes de Lengua Castellana y Literatura II: SINTAXIS-COMPLETA.pdf

22 páginas

He publicado nuevos apuntes de Historia de la Filosofía: DESCARTES-VS-ORTEGA-Y-GASSET.pdf

2 páginas

He publicado nuevos apuntes de Historia de la Filosofía: DESCARTES.-Contexto-Filosofico-Cultural.pdf

2 páginas