@Acidobehenico

Estudios: Grado en Química (UCM) ...Mostrar más

Bio: Hola

106 Publicaciones

4.41k Interacciones

3 Seguidores

1 Siguiendo

Lista de publicaciones de Acidobehenico

He publicado nuevos apuntes de 4º Tecnología del Medio Ambiente: EXAMEN-2016-RESUELTO.pdf

5 páginas

apuntes

-

Apuntes

He publicado nuevos apuntes de 4º Tecnología del Medio Ambiente: Apuntes

TEMA-4.TRATAMIENTOS-DE-DEPURACION-DE-AGUAS-RESIDUALES.pdf

He publicado nuevos apuntes de 3º Quimica Inorganica II: Tema-2-Aspectos-termodinamicos-201219114619.pdf

6 páginas

He publicado nuevos ejercicios de 3º Química Orgánica II: Seminario-adicional.pdf

8 páginas

examenes

-

examenes enero sin retro

He publicado nuevos examenes de 3º Química Orgánica II: examenes enero sin retro

Enero-2022.pdf
Enero-2018221224005622.pdf
Enero-2021.pdf
Enero-2019.pdf

apuntes

-

INFORMES

He publicado nuevos apuntes de 3º Quimica Inorganica II: INFORMES

P1
p2.pdf
SEGUNDO CUATRIpdf

apuntes

-

Espectroscopía

He publicado nuevos apuntes de 3º Química Orgánica II: Espectroscopía

Hrmn220921190516.pdf
Apuntes-espectroscopia-completosremoved.pdf

apuntes

-

Fabricación del ácido sulfúrico

He publicado nuevos apuntes de 2º Ingeniería Química: Fabricación del ácido sulfúrico

Notes220607130506.pdf
Tema-15-Petroleo-220607193732-1.pdf

He publicado nuevos examenes de 1º Física General: Examenes-segundo-cuatri.pdf

20 páginas

He publicado nuevos examenes de 1º Física General: Notes220604203658.pdf

19 páginas

ejercicios

-

Ejercicios segundo cuatri

He publicado nuevos ejercicios de 2º Química Física I: Ejercicios segundo cuatri

Ejercicios tema 14.pdf
Ejercicios tema 16.pdf
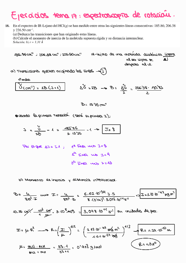
Ejercicios-tema-17220525175130-1.pdf

He publicado nuevos ejercicios de 2º Ingeniería Química: Ejercicio-tipo-9220510141252.pdf

4 páginas

ejercicios

-

Ejercicios calor

He publicado nuevos ejercicios de 2º Ingeniería Química: Ejercicios calor

Problema tipo 7.pdf
Ejercicio 21 seminario.pdf
Ejercicio tipo 8.pdf
Ejercicio-de-examen-calor220509133734.pdf

apuntes

-

apuntes

He publicado nuevos apuntes de 2º Química Física I: apuntes

Lección 5.pdf
Lección 14: introducción espectroscopía.pdf
Leccion 3.pdf
Leccion 1.pdf
Lección 4.pdf
Lección 2.pdf

apuntes

-

Fluidos ejercicios

He publicado nuevos apuntes de 2º Ingeniería Química: Fluidos ejercicios

Tipo-fluidos-antiguo220308181435.pdf
Ejercicio-tipo-6.pdf
Seminario-19220308163652.pdf
Fluidos-seminarios-220307125654.pdf

He publicado nuevos apuntes de 3º Química Analítica II: espectroscopia-ir.pdf

2 páginas

He publicado nuevos apuntes de 3º Quimica Inorganica II: tema-3.pdf

6 páginas

He publicado nuevos apuntes de 1º Informática Aplicada a la Química: borax.pdf

4 páginas