@AD_14

Bio: He estudiado ciencias ambientales en la UPV (campus Gandía)

7 Publicaciones

19 Interacciones

0 Seguidores

0 Siguiendo

Lista de publicaciones de AD_14

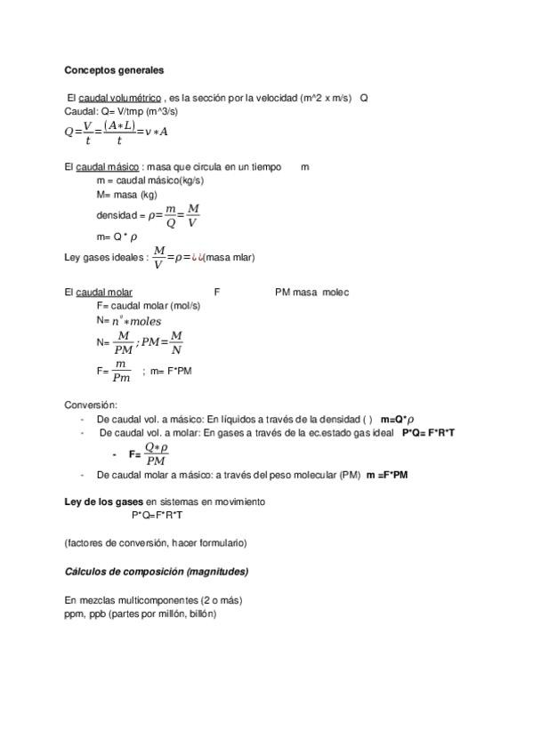
He publicado nuevos apuntes de 2º Fundamentos de Ingeniería Ambiental: 1-er-parcial.docx

word

He publicado nuevos apuntes de 2º Fundamentos de Ingeniería Ambiental: tema-1.docx

word

He publicado nuevos apuntes de 2º Fundamentos de Ingeniería Ambiental: 2-parcial-Fia.docx

word

He publicado nuevos practicas de 2º Cartografía, SIG y Teledetección: Practicas-carto.pdf

8 páginas

He publicado nuevos apuntes de 2º Cartografía, SIG y Teledetección: Parcial-1.docx

word

He publicado nuevos apuntes de 2º Cartografía, SIG y Teledetección: Sig.docx

word

He publicado nuevos ejercicios de 2º Cartografía, SIG y Teledetección: Examen-sig.docx

word