@ADEdchoUMA

Estudios: Grado en Derecho (UMA) ...Mostrar más

32 Publicaciones

381 Interacciones

1 Seguidores

2 Siguiendo

Lista de publicaciones de ADEdchoUMA

He publicado nuevos apuntes de 3º Econometria I: Examen-22-de-enero-2025.pdf

6 páginas

He publicado nuevos apuntes de 3º Fundamentos de Derecho Procesal: TEST-TIPO-EXAMEN-PROCESAL.pdf

8 páginas

He publicado nuevos apuntes de 2º Teoría General de Obligaciones y Contratos: CONTRATOS-practica-3.pdf

2 páginas

He publicado nuevos practicas de 2º Teoría General de Obligaciones y Contratos: CONTRATOS practica 1.pdf

2 páginas

He publicado nuevos practicas de 2º Teoría General de Obligaciones y Contratos: CONTRATOS practica 2.pdf

2 páginas

He publicado nuevos apuntes de 2º Derecho Internacional Público: INTERNACIONAL PÚBLICO todos los temas (claves para examen).pdf

46 páginas

He publicado nuevos ejercicios de 2º Estadística II: ESTADISTICA-II Complementarios-tema-2.pdf

1 página

ejercicios

-

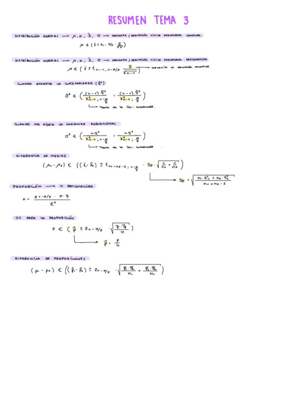
ESTADISTICA II tema 3

He publicado nuevos ejercicios de 2º Estadística II: ESTADISTICA II tema 3

Resumen-3.pdf
Resumen-3.pdf
Ejercicios-tema-3.pdf
Ejercicios-tema-3.pdf

ejercicios

-

ESTADISTICA II tema 2

He publicado nuevos ejercicios de 2º Estadística II: ESTADISTICA II tema 2

Ejercicios-tema-2.pdf
Ejercicios-tema-2.pdf
Resumen-2.pdf
Resumen-2.pdf

ejercicios

-

ESTADISTICA II tema 1

He publicado nuevos ejercicios de 2º Estadística II: ESTADISTICA II tema 1

Ejercicios-tema-1.pdf
Ejercicios-tema-1.pdf
Resumen-1.pdf
Resumen-1.pdf

He publicado nuevos examenes de 1º Filosofía del Derecho: FILOSOFIA DEL DERECHO preguntas examen.pdf

1 página

He publicado nuevos apuntes de 1º Filosofía del Derecho: FILOSOFIA DEL DERECHO Esquema-tema-3.pdf

11 páginas

He publicado nuevos apuntes de 1º Filosofía del Derecho: FILOSOFIA DEL DERECHO Esquema-bioetica.pdf

1 página

He publicado nuevos apuntes de 1º Filosofía del Derecho: FILOSOFIA DEL DERECHO Esquemas-tema-1.pdf

4 páginas

He publicado nuevos apuntes de 1º Teoría del Derecho: info para examen teoria del dcho.pdf

1 página

apuntes

-

TEORIA DEL DERECHO tema 10

PARA EXAMEN

Esquema-10.pdf
Practica-10.pdf

apuntes

-

TEORIA DEL DERECHO tema 9

PARA EXAMEN

Esquema-9.pdf
Practica-9.pdf

apuntes

-

TEORIA DEL DERECHO tema 8

PARA EXAMEN

Esquema-8.pdf
Practica-8.pdf

apuntes

-

TEORIA DEL DERECHO tema 7

PARA EXAMEN

Esquema-7.pdf
Practica-7.pdf

apuntes

-

TEORIA DEL DERECHO tema 6

PARA EXAMEN

Esquema-6.pdf
Practica-6.pdf