@adeinglesucm

39 Publicaciones

200 Interacciones

5 Seguidores

0 Siguiendo

Lista de publicaciones de adeinglesucm

apuntes

-

MARKET RESEARCH Midterm 1

He publicado nuevos apuntes de 3º Investigación Comercial: MARKET RESEARCH Midterm 1

MARKET-RESEARCH-T1.pdf
MARKET-RESEARCH-T2.pdf
MARKET-RESEARCH-T3.pdf
MARKET-RESEARCH-T4.pdf
MARKET-RESEARCH-T6.pdf
MARKET-RESEARCH-T7.pdf

He publicado nuevos apuntes de 2º Organización y Diseño: CHAPTER-1.pdf

5 páginas

He publicado nuevos examenes de 1º Organización y Diseño: TEST-1.pdf

2 páginas

He publicado nuevos examenes de 2º Política Económica: ECONOMIC-POLICY-TEST-QUESTIONS.pdf

4 páginas

He publicado nuevos apuntes de 2º Política Económica: CHAPTER-1-notes.pdf

13 páginas

He publicado nuevos examenes de 1º Fundamentos de Dirección de Empresas: FADE-EXAM-2025.pdf

5 páginas

He publicado nuevos examenes de 1º Fundamentos de Dirección de Empresas: FADE-EXAM-2025-Solutions-test.pdf

5 páginas

He publicado nuevos examenes de 2º Entorno económico internacional: PRACTICAL-FINAL-EXAM-JUNE-2025-extraordinary.pdf

4 páginas

He publicado nuevos examenes de 1º Fundamentos de Dirección de Empresas: SOLUTIONS-MID-TERM-QUESTIONS-2024-FADE.pdf

1 página

He publicado nuevos examenes de 2º Entorno económico internacional: THEORY-FINAL-EXAM-JUNE-2025-EXTRAORDINARY.pdf

6 páginas

He publicado nuevos examenes de 2º Macroeconomía: 2nd-MID-TERM-DEC-2025.pdf

10 páginas

He publicado nuevos examenes de 2º Macroeconomía: 1st-MIDTERM-NOV-2025.pdf

11 páginas

He publicado nuevos examenes de 1º Fundamentos de Dirección de Empresas: MID-TERM-QUESTIONS-2024-FADE.pdf

1 página

He publicado nuevos examenes de 2º Estadística Empresarial Ii: FINAL-EXAM-MAY-2025-STATISTICS-II.pdf

2 páginas

He publicado nuevos examenes de 3º Fundamentos de Marketing: MARKETING-EXAM-2026-SOLUTIONS.pdf

6 páginas

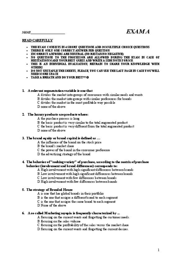
He publicado nuevos examenes de 3º Fundamentos de Marketing: MARKETIN-EXAM-2026.pdf

6 páginas

He publicado nuevos practicas de 3º Análisis y Consolidación Contable: EXERCISES-analysis-and-acc.-cons.xlsx

excel

He publicado nuevos apuntes de 3º Análisis y Consolidación Contable: Mid-term-notes-ANALYSIS-and-ACCOUNTING-CONSOLIDATION.pdf

11 páginas

He publicado nuevos examenes de 3º Dirección de Recursos Humanos: HRM-QUESTIONS-BANK.pdf

30 páginas

examenes

-

PRACTICAL CASE 3

He publicado nuevos examenes de 3º Metodos de Decision: PRACTICAL CASE 3

PRACTICAL-CASE-3-2025.pdf
Practical-Case-3-Solution.pdf