@adesevilla

15 Publicaciones

748 Interacciones

4 Seguidores

10 Siguiendo

Lista de publicaciones de adesevilla

Revilla SA, Reina SA, Supermercados MAS, Diaz Muñoz SA. Corregidos en clase 2025

6 páginas

Ejercicios corregidos segundo bloque, valoración

6 páginas

He publicado nuevos ejercicios de 1º Finanzas: ejercicios tema 4 completos.pdf

33 páginas

He publicado nuevos apuntes de 1º Fundamentos de Contabilidad: Resumido-para-entender-todos-los-temas.pdf

19 páginas

He publicado nuevos apuntes de 1º Fundamentos de Contabilidad: IVA-EXPLICACION-CON-EJEMPLOS.pdf

11 páginas

Ejercicios tema 2 resueltos para el primer parcial

6 páginas

Ejercicios resueltos tema 3 de finanzas 2025

20 páginas

explicados con ejercicios de clase

23 páginas

Esquemas finanzas tema 2

14 páginas

Tema explicado bien para entender fácilmente

5 páginas

He publicado nuevos apuntes de 1º Finanzas: Apuntes-tema-1-finanzas.pdf

3 páginas

Pasos para cómo resolver ejercicios espacio vectorial (tema 9)

3 páginas

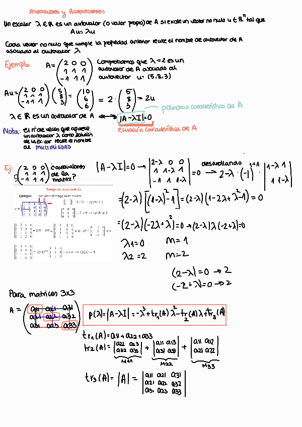
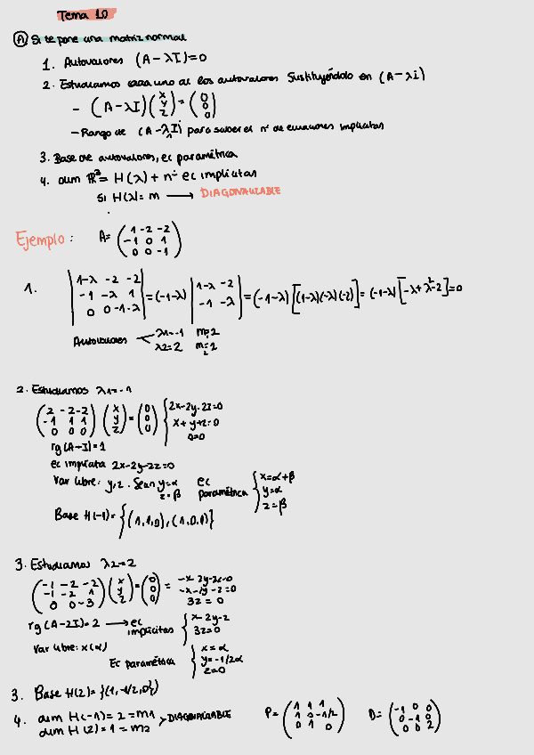
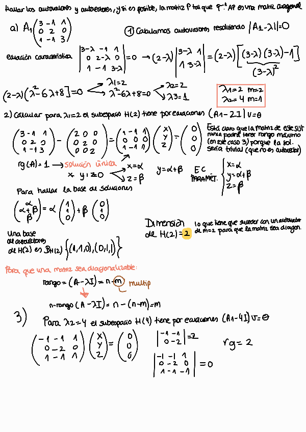
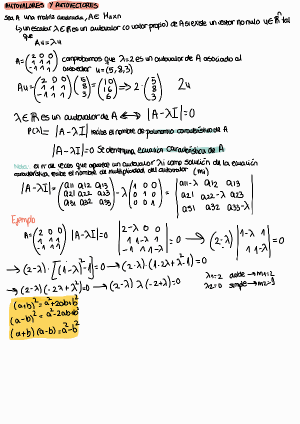
Pasos para cómo resolver ejercicios diagonalizacion (tema 10 autovalores y autovectores )

4 páginas

Apuntes con ejercicios

9 páginas

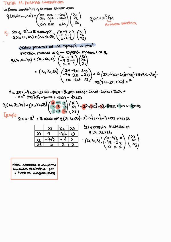
He publicado nuevos apuntes de 1º Matemáticas I: Tema-11-teoria-con-ejercicios.pdf

14 páginas