@adj07

Estudios: Bachillerato ...Mostrar más

Bio: 2 bachillerato tecnológico

39 Publicaciones

955 Interacciones

5 Seguidores

0 Siguiendo

Lista de publicaciones de adj07

Temas: sólidos rígidos, vigas, centro de masas, sistemas de sólidos rígidos, estructuras articuladas, momento de inercia y estática de fluidos

6 páginas

He publicado nuevos apuntes de 1º Historia, Teoría y Composición Arquitectónicas 1: Apuntes-de-historia-I-en-ingles-MÁTRICULA.pdf

51 páginas

apuntes

-

Literatura - Teatro para selectividad

He publicado nuevos apuntes de 2º Lengua Castellana y Literatura II: Literatura - Teatro para selectividad

TEATRO-PARA-EVAU.pdf
Esquemas-de-teatro-para-selectividad.pdf

apuntes

-

Siglo XIX para selectividad

He publicado nuevos apuntes de 2º Historia de España: Siglo XIX para selectividad

4-Proceso-desamortizador-y-cambios-agrarios.pdf
1-La-crisis-del-Antiguo-Regimen-1788-1833.pdf
5-La-Restauracion.pdf
3-Sexenio-Revolucionario.pdf
2-La-construccion-del-estado-liberal.pdf
6-Crisis-del-98.pdf

apuntes

-

Siglo XX para selectividad

He publicado nuevos apuntes de 2º Historia de España: Siglo XX para selectividad

2-Segunda-Republica.pdf
1-Dictadura-de-Primo-de-Rivera.pdf
3-Guerra-Civil-espanola.pdf
4-Dictadura-de-Franco.pdf
5-La-Transicion-espanola.pdf
6-Los-gobiernos-democraticos.pdf

He publicado nuevos apuntes de 2º Matemáticas II: Matematicas-II.pdf

13 páginas

apuntes

-

Apuntes de los libros de lectura para EVAU

He publicado nuevos apuntes de 2º Lengua Castellana y Literatura II: Apuntes de los libros de lectura para EVAU

Apuntes-el-cuarto-de-atras.pdf
Apuntes-la-realidad-y-el-deseo-Cernuda.pdf
Apuntes-la-casa-de-Bernarda-Alba.pdf
Apuntes-el-arbol-de-la-ciencia.pdf

He publicado nuevos apuntes de 2º Lengua Castellana y Literatura II: Sintaxis.pdf

1 página

He publicado nuevos apuntes de 1º Física y Química: Apuntes-fyq-1bach.pdf

13 páginas

He publicado nuevos apuntes de 2º Física: Deducciones-gravitacion-energia-en-orbita-velocidad-en-orbita-y-velocidad-de-escape.pdf

2 páginas

He publicado nuevos apuntes de 2º Física: Fisica-II-completa.pdf

9 páginas

He publicado nuevos apuntes de 1º Matemáticas I: Matematicas-I.pdf

11 páginas

He publicado nuevos apuntes de 2º Matemáticas aplicadas a las Ciencias Sociales II: Probabilidad.pdf

1 página

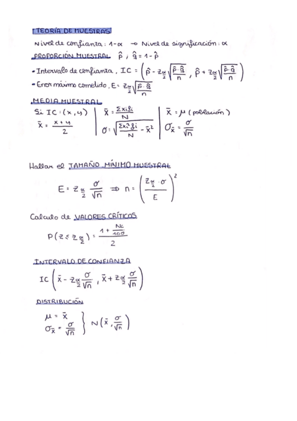
He publicado nuevos apuntes de 2º Matemáticas aplicadas a las Ciencias Sociales II: Teoria-de-muestras.pdf

1 página

He publicado nuevos apuntes de 1º Matemáticas Aplicadas a las Ciencias Sociales I: Distribuciones-de-probabilidad-Binomial-y-normal.pdf

1 página

He publicado nuevos apuntes de 1º Matemáticas Aplicadas a las Ciencias Sociales I: Estadistica-unidimensional.pdf

2 páginas

ejercicios

-

Ejercicios resueltos - Física y química - 1º bachillerato

Boletines con sus ejercicios resueltos desarrollados de todos los temas de física y química 1º bachillerato

Ejercicios-resueltos-Cinematica-completa.pdf
Ejercicios-resueltos-Dinamica.pdf
Ejercicios-estequiometria.pdf
Ejercicios-cinematica-1D.pdf
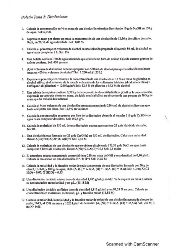
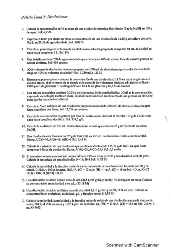
Ejercicios-disoluciones.pdf
Ejercicios-la-materia-y-leyes-ponderales.pdf