@Admin_

69 Publicaciones

238 Interacciones

1 Seguidores

0 Siguiendo

Lista de publicaciones de Admin_

apuntes

-

Temario completo

He publicado nuevos apuntes de 2º Dirección de Marketing: Temario completo

Tema-1.pdf
Tema-2.pdf
Tema-3.pdf
Tema-4.pdf
Tema-5.pdf

apuntes

-

Temario completo

He publicado nuevos apuntes de 2º Macroeconomía: Temario completo

Tema-1.pdf
Tema-2.pdf
Tema-3.pdf
Tema-4.pdf
Tema-5.pdf
Tema-6.pdf

apuntes

-

TABLAS

He publicado nuevos apuntes de 2º Estadística Empresarial Ii: TABLAS

tema-6.pdf

apuntes

-

TEMA 6

He publicado nuevos apuntes de 2º Estadística Empresarial Ii: TEMA 6

Problemas-resueltos.pdf
Test-examen.pdf

apuntes

-

TEMA 5

He publicado nuevos apuntes de 2º Estadística Empresarial Ii: TEMA 5

Problemas-resueltos.pdf
Teoria.pdf
Test-examen.pdf

apuntes

-

TEMA 4

He publicado nuevos apuntes de 2º Estadística Empresarial Ii: TEMA 4

Problemas-resueltos.pdf
Teoria.pdf
Test-examen.pdf

apuntes

-

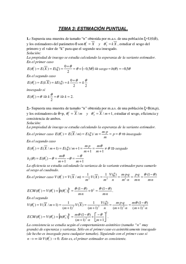
TEMA 3

He publicado nuevos apuntes de 2º Estadística Empresarial Ii: TEMA 3

Problemas-resueltos.pdf
Teoria.pdf
Test-examen.pdf

apuntes

-

TEMA 2

He publicado nuevos apuntes de 2º Estadística Empresarial Ii: TEMA 2

Problemas-resueltos.pdf
Test-examen.pdf

ejercicios

-

TEMA 1

He publicado nuevos ejercicios de 2º Estadística Empresarial Ii: TEMA 1

Problemas-resueltos.pdf
Teoria.pdf
Test-examen.pdf

apuntes

-

Estadística I

He publicado nuevos apuntes de 2º Estadística Empresarial I: Estadística I

Definiciones-del-libro-temas-5-y-6.pdf
Tabla-de-estadistica.pdf
Tema-1.pdf
Tema-2.pdf
Tema-3.pdf
Tema-4.pdf

He publicado nuevos examenes de 2º Sociología de la Empresa: PREGUNTAS-DE-LOS-TEMAS.pdf

24 páginas

apuntes

-

Sociología

He publicado nuevos apuntes de 2º Sociología de la Empresa: Sociología

Tema-1.pdf
Tema-2-division-del-trabajo.pdf
Tema-2.pdf
Tema-3-el-toyotismo.pdf
Tema-3-la-filosofia-de-gestion.pdf
Tema-3-teoria-de-la-contingencia.pdf