@Aero00

76.46 € • 34.64k EXP

Bio: Aeroespacial UCA

154 Publicaciones

8.81k Interacciones

10 Seguidores

1 Siguiendo

Lista de publicaciones de Aero00

examenes

-

EXAMEN JUNIO 2021

He publicado nuevos examenes de 3º Mecánica del Vuelo: EXAMEN JUNIO 2021

ENUNCIADO-EXAMEN-JUNIO-2021.pdf
Solucion-examen-Junio-2021-no-corregido.pdf

He publicado nuevos examenes de 3º Motores de Aeronaves: ENUNCIADO-EXAMEN-JUNIO-2021.pdf

1 página

He publicado nuevos apuntes de 3º Mecánica del Vuelo: TEMAS-0-6-ACTUACIONES.pdf

42 páginas

He publicado nuevos apuntes de 3º Aviónica y Sistemas de Ayuda a la Navegación: Formulario-ASAN-Parte-B.pdf

6 páginas

examenes

-

Parcial y Ex. Junio 2021

He publicado nuevos examenes de 3º Aviónica y Sistemas de Ayuda a la Navegación: Parcial y Ex. Junio 2021

A1-Examen-ASAN-11jun21.pdf
B2-examen-parcial-ASAN1.pdf
B1-examen-parcial-ASAN1.pdf
A2-Examen-ASAN-11jun21.pdf
EXAMEN-PARTE-B-FINAL-JUNIO-2021.pdf

He publicado nuevos test de 3º Aviónica y Sistemas de Ayuda a la Navegación: PRUEBA-PROGRESO-4.pdf

1 página

He publicado nuevos examenes de 3º Aviónica y Sistemas de Ayuda a la Navegación: 2a-Prueba-de-Progreso-ASAN.pdf

1 página

He publicado nuevos apuntes de 3º Motores de Aeronaves: Resumen-temas-1-4.pdf

8 páginas

apuntes

-

APUNTES TEMAS

He publicado nuevos apuntes de 3º Mecánica del Vuelo: APUNTES TEMAS

TEMA-0-CONCEPTOS-BASICOS.pdf

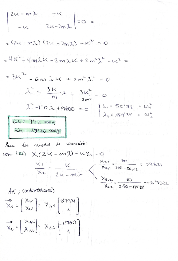
He publicado nuevos ejercicios de 3º Mecánica y Vibraciones: EJERCICIO-2GdL.pdf

3 páginas

He publicado nuevos test de 3º Aerodinámica I: TEST-PARCIAL-3.pdf

5 páginas

He publicado nuevos test de 3º Estructuras Aeronáuticas: TEST-PARCIAL-2020-21-RESUELTO.pdf

3 páginas

He publicado nuevos ejercicios de 3º Estructuras Aeronáuticas: Ejercicio-EAN-53.pdf

4 páginas

test

-

Test temas

He publicado nuevos test de 3º Navegación Aérea: Test temas

TEST-TEMA-6.pdf
TEST-TEMA-7.pdf
TEST-TEMA-8.pdf
TEST-TEMA-4.pdf
TEST-TEMA-2.pdf

He publicado nuevos examenes de 3º Navegación Aérea: EXAMEN-RESUELTO-JUNIO-2020.pdf

4 páginas

He publicado nuevos ejercicios de 3º Navegación Aérea: PROBLEMAS-PROPUESTOS-1.pdf

4 páginas

He publicado nuevos apuntes de 3º Fundamentos de Propulsión: Teoria-Motores-Cohete.pdf

4 páginas

He publicado nuevos apuntes de 3º Fundamentos de Propulsión: Teoria-Aerorreactores.pdf

12 páginas

He publicado nuevos ejercicios de 3º Mecánica y Vibraciones: Movimiento-relativo-parte-I.pdf

13 páginas

He publicado nuevos ejercicios de 3º Fundamentos de Propulsión: PROBLEMAS-AERORREACTORES.pdf

18 páginas